柱体单元的等效横截面形状

要简化计算,可将具有非圆形横截面形状的柱体单元转换为等效的圆形柱体。

原始形状的热传导也要考虑在内。形状因子(实际横截面形状的外周长与具有等效横截面面积的圆形柱体的周长之比)针对转换后柱体应具有的额外表面积进行调整。

支持的柱体单元的横截面形状

下表列出了可用的横截面形状以及定义它们所需的尺寸。

形状 所需尺寸
圆形 直径 (2r)
环形 外径 (do),内径 (di)
半圆形 直径 (2r),高度 (t)
矩形 宽度 (a),高度 (b)
梯形 上宽 (b),下宽 (a),高度 (h)
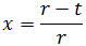
U 形(圆角梯形),其中 H = D 宽度 (W),高度 (H)
U 形(圆角梯形),其中 H > D 宽度 (W),高度 (H),直径 (d)
椭圆 长半径 (a),短半径 (b)
其它 等效直径,形状因子
注意: 对于 U 形梁,确保高度永远不会大于宽度。如果输入的高度值大于宽度,软件将把 H 设置为 W。

非圆形柱体横截面形状的等效直径和形状因子

下表说明了定义非圆形柱体横截面形状所需的尺寸,同时给出了用于定义每个柱体形状的等效直径和形状因子的计算。

注: 分析会直接求解圆形和环形柱体形状。无需计算圆形或环形柱体形状的等效直径或形状因子。
形状 横截面几何 等效直径,基于等效横截面面积 形状因子
半圆形

矩形
矩形
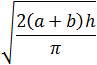
梯形
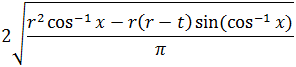
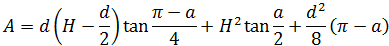
U 形(或圆角梯形),其中 H = D
U 形(或圆角梯形),其中 H > D

其中

其中

椭圆
注意: 在以上给出的公式中,角度测量必须以弧度(而非度)指定。
注意: 对于 U 形梁,确保高度永远不会大于宽度。如果输入的高度值大于宽度,软件将把 H 设置为 W。

操作示例

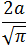
某个矩形流道的横截面宽度 (a) 为 5 mm,高度 (b) 为 3 mm。

利用以上公式,可以将此流道建立成直径为

或 4.37 mm 的圆形柱体单元这一模型。

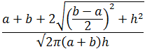
流道所需的形状因子为

或 1.16。

建立此柱体单元模型时,请选择 “编辑”“几何”选项卡 > “属性”面板 > “编辑”)。在“截面形状是”框中选择“其它形状”。单击“编辑尺寸”,然后在出现的“横截面尺寸”对话框中输入等效直径的计算值 (4.37) 和形状因子的计算值 (1.16)。