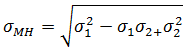
您可以選取下列其中一或多個結果:
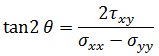
您可以在可說明某點應力狀態的著名 Mohr 圓的輔助下,說明這些結果的數學起源。


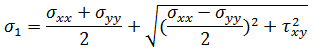
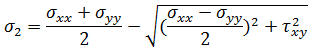
為最大法向應力,
為最小法向應力。主應力的對應方向分別稱為第一主與第二主方向。您可以使用以下方程式來計算其角度: 


一般而言,檢查應力結果時,會檢查零件內應力的分佈情況,以及零件中的最大應力等級。「應力」與「翹曲」會輸出元素頂部與底部 (標準化厚度分別 = 1 與 -1) 的結果。
您需要將其與建議的材料最大應力以及零件的任何相關設計標準 (例如指定的失效標準) 相比較。
未充填的等向性材料一般會展示脆性或柔性行為,如下圖所示,其中 (a) 表示脆性應力應變行為,(b) 表示柔性應力應變行為。

每種情況中建議考慮的應力結果為:
針對纖維充填的非等向性材料,負載下零件的行為、失效力學以及失效的設計標準,都要比等向性材料複雜得多。複合材料的應力分析與所獲結果的說明,都需要使用者掌握零件的特殊專業知識。
纖維配向與應力/翹曲分析都會以零件整個厚度的每個層壓板為基礎輸出結果。