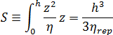
代表性剪切率起源
整體剪切率或代表性剪切率從模壁剪應力與流動性導出,為分析期間計算的量。
代表黏度
可根據流動性
與零件的厚度
計算得出,即:
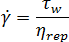
然後可利用模壁剪應力與代表黏度計算出代表性剪切率:
上層主題:
充填分析