覆晶充填黏度模型 (修改反應式材料的 Herschel-Bulkley-WLF 黏度模型所得) 專門用於覆晶充填封膠。
 覆晶充填黏度模型包括一個額外項 
 (厚度),如下所示:
其中,
      為黏度 (Pa. sec.) 
 為母模仁厚度 (公尺) 
         為參考厚度為 
 時的黏度, 
      和 
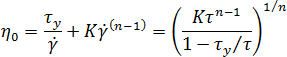
 為資料調適係數。 厚度為參考厚度時的黏度可透過下列方程式計算得出:
其中,
      為黏度 (Pa s) 
           為剪切率 (1/s) 
      為溫度 (K) 
      為固化程度 (0 - 1), 
     、 
、 
、 
、 
、 
、 
、 
 與 
 (膠化轉換) 為資料調適係數。