Delaminierungsbeginnkriterien (oder Schadensbeginnkriterien)

Es gibt zwei verschiedene zugkraftbasierte Delaminierungsbeginnkriterien, die in Simulation Composite Analysis implementiert sind.

Für alle in Simulation Composite Analysis implementierten Delaminierungsmodelle basiert die Prognose des Delaminierungsbeginns auf den Zugkräften (tn,ts und tt), die an den Integrationspunkten des kohäsiven Elements auftreten.

Kriterium der maximalen Spannung

Kriterium der quadratischen Spannung

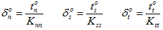
Angenommen, das aktuelle Verhältnis zwischen den drei Zugkräften (tn : ts : tt) bleibt bei zunehmender Last konstant; dann können wir die Zugkräfte berechnen, bei denen die Delaminierung beginnt. Für das Kriterium der quadratischen Spannung sind diese anfänglichen Zugkräfte

Nochmals angenommen, das aktuelle Verhältnis zwischen den drei Zugkräften (tn : ts : tt) bleibt bei zunehmender Last konstant; dann können wir die entsprechenden relativen Verschiebungen bei Delaminierungsbeginn berechnen als