Hashin-Kriterium

Das Hashin-Kriterium [16] identifiziert vier verschiedene Ausfallmodi für Verbundmaterialien.

Die vier Modi sind: Faserausfall durch Zug, Faserausfall durch Druck, Matrixausfall durch Zug, Matrixausfall durch Druck.

= Wert von σ11 bei Ausfall durch Längszug

= Wert von σ11 bei Ausfall durch Längsdruck

= Wert von σ22 bei Ausfall durch Querzug

= Wert von σ22 bei Ausfall durch Querdruck

= Absoluter Wert von σ12 bei Ausfall durch Längsscherung

= Absoluter Wert von σ23 bei Ausfall durch Querscherung

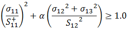
Wenn , lautet das Kriterium für Faserausfall durch Zug:

Wenn , lautet das Kriterium für Faserausfall durch Druck:

Wenn , lautet das Kriterium für Matrixausfall durch Zug:

Wenn , lautet das Kriterium für Matrixausfall durch Druck:

Anmerkung: Die Hashin-Gleichungen erfordern einen benutzerdefinierten Parameter: α.
α

Benutzerdefinierter Koeffizient, der bestimmt, welchen Beitrag die längsseitige Scherspannung zum Faserausfall durch Zug leistet. Gültige Werte liegen im Bereich von 0.0α1.0. Der Vorgabewert ist α=0.