Berechnungsformeln

Diese Formeln werden verwendet, um entweder eine Welle (mit mind. einem Schnitt) oder einen Träger (mit einem konstantem Schnitt) mit mehreren Auflagern und Lasten zu berechnen.

Die Wellen-/Trägerachse ist an der Z-Achse ausgerichtet. Wenn die Auswirkungen auf die Materialdichte in die Berechnung mit einbezogen werden, wird der Schwerkraftvektor an der Y-Achse ausgerichtet.

Schubkräfte:

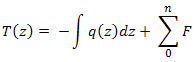
Biegemomente:

Durchbiegungswinkel:

Dabei gilt:

 

E

Elastizitätsmodul bei Spannung

 

J

Trägheitsmoment

 

G

Schubelastizitätsmodul

  β

Koeffizient für Schubverschiebung

Durchbiegung:

Biegespannung:

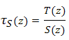
Scherspannung:

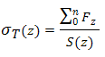
Torsionsspannung:

Spannung:

Reduzierte Spannung:

Dabei gilt:

  σ B Biegespannung
  σ T

Spannung

  τ Torsionsspannung
  τ S Scherspannung
  α α = 3 für HMH
    α = 4 für Tresca-Guest

Beispielberechnung

Elastizitätsmodul E = 210 000 MPa

Schubelastizitätsmodul G = 81 000 MPa

Koeffizient für Schubverschiebungβ=1.118

Modus der reduzierten Spannung: HMH

Die Materialdichte soll nicht berücksichtigt werden.

Gegenkräfte:

Maximale Scherspannung:

Maximale Torsionsspannung:

Maximales Moment:

Maximale Biegespannung:

Maximale reduzierte Spannung:

Verdrehungswinkel: