Der Luftraum über einer Decke kann als Pfad für Abluft genutzt werden. Im Gegensatz zur herkömmlichen Rückführung mithilfe von Luftkanälen können bei einem Luftraum mehrere Wärmequellen an dem Pfad liegen. Diese Wärmequellen können von Beleuchtung oder Trafos ausgehende strahlungs- oder konvektionsbedingte Lasten, aus Wärmeleitung durch angrenzende Wände, Dächer oder Verglasungsflächen entstandene Lasten oder Luftkanal- und Rohrsysteme innerhalb des Luftraums selbst sein.
Die folgenden Gleichungen zeigen, wie Temperaturen und Wärmeleitung für Lufträume in der Engine berechnet werden:
(35)
(36)
(37)
(38)
(39)
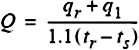
Dabei gilt folgendes:
= Wärmegewinn aus Luftraum durch Decke über Raum, Btu/h
= - Wärmeverlust aus Luftraum durch darüber liegende Geschossdecke, Btu/h
= Zusätzlicher Wärmegewinn durch Rückluft, Btu/h
= Abluft, Btu/h
= beleuchtungsbedingter Wärmegewinn in Luftraum über Abluft, Btu/h
= beleuchtungsbedingter Wärmegewinn für Raum, Btu/h
= Wärmegewinn aus darunter liegendem Luftraum, Btu/h
= Wärmegewinn aus Außenwand Btu/h
= Raumkühllast einschließlich geeignete Behandlung von
,
und/oder
, Btu/h
= Luftraumtemperatur °F
= Raumtemperatur °F
= Raumtemperatur in darüber liegendem Stockwerk, °F
= Zulufttemperatur, °F

Schema eines typischen Luftraums für Abluft