Distribution of forces in welds due to a load parallel to the chord

Distribution of forces in welds due to a load perpendicular to the chord

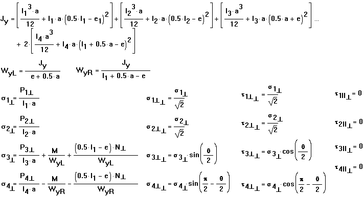
Distribution of stresses in longitudinal welds

Distribution of stresses in transversal welds



Formulas for resultant stresses in welds (longitudinal 1, longitudinal 2, transversal internal 3, transversal external 4)

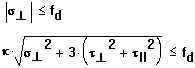
Resistance condition:
Eurocode:

PN:
