Nullgleichungs-Turbulenzmodelle

In Autodesk Simulation CFD sind auch Nullgleichungs-Turbulenzmodelle verfügbar, mit denen sich die Variablen für turbulente Viskosität und turbulente Leitfähigkeit bestimmen lassen.

Das erste dieser Nullgleichungsmodelle wird "Wirbelviskositätsmodell" genannt. In diesem Modell wird die turbulente Viskosität konstant gehalten entsprechend:

In der obigen Gleichung steht R für das Verhältnis Turb./Lam., also das Verhältnis von turbulenter Viskosität zu laminarer bzw. absoluter Viskosität.

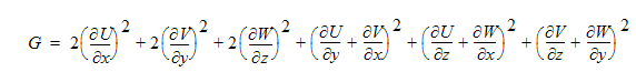
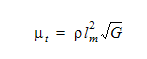
Im "Mischungsweg"-Turbulenzmodell wird die turbulente Viskosität gemäß dem folgenden Ausdruck berechnet:

wobei

und für die Dichte des Fluids und l, M für einen Mischungsweg steht.

In der turbulenten Grenzschicht wird der Mischungsweg wie folgt berechnet:

Dabei ist der zuvor erwähnte Wandparameter und s der lotrechte Abstand von der Wand.

Außerhalb der Grenzschicht ist die turbulente Viskosität konstant und wird entsprechend der ersten Gleichung auf dieser Seite festgelegt.