Allgemeine skalare Transportgleichung

Die folgende Gleichung beschreibt den Transport eines passiven Skalars durch ein nicht kompressibles Fluid:

Die Variablen in dieser Gleichung sind in der folgenden Tabelle aufgeführt:

Variable Beschreibung
D Diffusivität (Länge2/Sek.)
f Passiver Skalar
t Zeit (s)
u Geschwindigkeitskomponente in x-Richtung (Länge/Sek.)
v Geschwindigkeitskomponente in y-Richtung (Länge/Sek.)
w Geschwindigkeitskomponente in z-Richtung (Länge/Sek.)

In Autodesk Simulation CFD wird die Speziesdiffusivität (D) im Dialogfeld Start > Erweitert eingegeben. Die Einheiten der Diffusivität sind Länge zum Quadrat durch Zeit (z. B. m2/s).

Bei einer turbulenten Strömung wird obige Gleichung zeitgemittelt, indem angenommen wird, dass die Skalarvariable als Überlagerung eines Mittelwerts durch einen um den Mittelwert fluktuierenden Wert dargestellt werden kann. Beispiel: Die Skalarvariable kann wie folgt geschrieben werden:

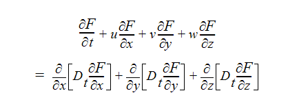
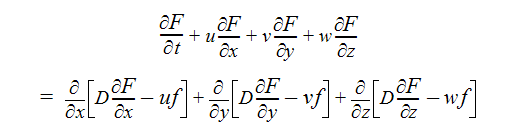
wobei F der mittlere Skalarwert ist und f"" die Fluktuation um diesen Mittelwert. Diese Darstellung wird in die zugrunde liegende Gleichung eingesetzt, und die Gleichung wird zeitgemittelt. Bei Verwendung einer Schreibung, bei der Großbuchstaben für die Mittelwerte und Kleinbuchstaben für die fluktuierenden Werte stehen, kann die gemittelte Skalargleichung wie folgt geschrieben werden:

Beachten Sie, dass der Mittelungsprozess zusätzliche Terme in der Skalargleichung erzeugt hat: uf, vf und wf. Diese Terme sind Kombinationen fluktuierender Mengen aufgrund der Mittelung der nichtlinearen Trägheits- oder Advektionsterme.

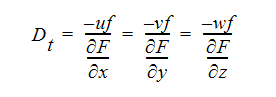
Nun muss eine Methode gefunden werden, um diese zusätzlichen Terme zu "modellieren", d. h. sie zurück zu den vorher unbekannten mittleren Werten in Beziehung zu setzen. In der nullten Ebene der Abgeschlossenheit werden die zusätzlichen Terme zurück zur abhängigen Variablen F verknüpft.

Wir verwenden dieselbe Ebene der Abgeschlossenheit wie bei Impulsgleichungen, indem die Boussinesq-Approximation verwendet wird, die eine Wirbeldiffusivität wie folgt definiert:

Anmerkung: Diese Definition impliziert, dass die Turbulenz isotrop ist.

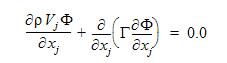
Wenn diese Definitionen in der gemittelten Skalargleichung verwendet werden, ergibt sich:

Dadurch muss nur noch die Wirbeldiffusivität Dtbestimmt werden.

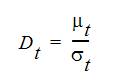
Die Wirbeldiffusivität wird mithilfe der Wirbelviskosität und der turbulenten Schmidtzahl berechnet:

Die turbulente Schmidtzahl wird in der Regel als 1.0 angenommen.

Randbedingungen

Es gibt 6 Typen von Begrenzungen, für die Bedingungen in der Skalargleichung enthalten sein müssen: Einlässe, Auslässe, schlupffreie Wände, symmetrische Linien, Gleitwände und periodische Randbedingungen. Bei Einlässen sollte der Wert des Skalars angegeben werden, selbst wenn er null ist. Bei Auslässen, symmetrischen Linien, Gleit- und schlupffreien Wänden verwendet die Skalargleichung eine natürliche Randbedingung eines Nullgradienten normal zur Begrenzung. Bei periodischen Randbedingungen wird der Skalar an einer Begrenzung erzwungen oder auf den entsprechenden Punkt der anderen periodischen Begrenzung übertragen.

Simulieren der Verbrennung mithilfe des allgemeinen Skalars

Die skalare Transportgleichung kann verwendet werden, um die Verbrennung grob zu simulieren. Es gibt drei Prozesse, die die Geschwindigkeit begrenzen können, mit der die Verbrennung erfolgt:

  1. Makromischung: Die großen Brennstoff- und Oxidanswirbel kombinieren oder interagieren durch die Konvektions- und Diffusions-Transportmechanismen.
  2. Mikromischung: Ein Brennstoffmolekül kommt mit einem Oxidansmolekül in Kontakt.
  3. Chemische Kinetik: Der tatsächliche chemische Prozess der Reaktion des Brennstoffes mit dem Oxidans wird von einer Reihe chemischer Reaktionen gesteuert, die mehrere Zwischenspezies beinhalten. Die Geschwindigkeit dieser Reaktion wird von den vorhandenen Spezies und der lokalen Temperatur bestimmt.

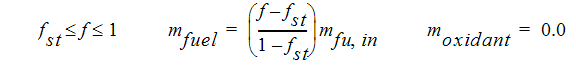
Der langsamste dieser Prozesse bestimmt weitgehend den Fortschritt des Verbrennungsprozesses. Ein Verbrennungsprozess, dessen Geschwindigkeit durch 1 oder 2 beschränkt wird, wird als "mischbegrenzt" bezeichnet. In diesem Fall wird angenommen: "Wenn es sich vermischt hat, ist es verbrannt." Für diesen mischbegrenzten Fall wird angenommen, dass Brennstoff und Oxidans immer in den stöchiometrischen Verhältnissen reagieren, um die Hauptprodukte der Verbrennung zu erzeugen. Zwischenspezies werden ignoriert. Die stöchiometrische Reaktion eines allgemeinen Brennstoffs kann z. B. wie folgt geschrieben werden:

wobei der stöchiometrische Koeffizient ist, der zum Verbrennen von 1 Masseneinheit des Brennstoffs erforderlich ist.

Der Brennstoff und das Oxidans können zu einer einzigen Skalarvariablen kombiniert werden:

Diese Skalarvariable wird zu einer Erhaltungsgröße, d. h. der advektiven und diffusiven Transportbilanz in einer stationären Berechnung (ohne Quell- oder Senkenterme).

Die Transportgleichung für wird durch Subtrahieren der Oxidansspezies-Transportgleichung von der Brennstoffspezies-Transportgleichung unter Annahme gleicher Austauschkoeffizienten (Diffusivitäten) abgeleitet:

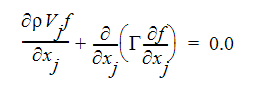
In dieser Gleichung ist der erste Term der Advektionsterm und der zweite der Diffusivitätsterm. Mithilfe dieser neu definierten Skalarvariablen kann ein Mischungsanteil wie folgt definiert werden:

Bei dieser Definition des Mischungsanteils ist der Wert von f im Brennstoffstrom gleich 1.0 und im Oxidansstrom gleich 0.0.

Der Wert von f wird bei stöchiometrischen Bedingungen als fst geschrieben.

Da f eine lineare Kombination von -Werten ist, folgt daraus, dass f auch eine Erhaltungsgröße ist. Damit kann die Transportgleichung für f wie folgt geschrieben werden:

Unter Annahme einer Gleichgewichtschemie beim Zusammentreffen von Brennstoff und Oxidans können die Massenanteile von Brennstoff und Oxidans berechnet werden:

Der Massenanteil der Produkte kann durch die Reste dieser beiden Gleichungen bestimmt werden.

Anmerkung: Wenn die allgemeine Skalarvariable im Task "Ergebnisse" geplottet wird, stimmen die Konturwerte von f = fst mit der Flammenform überein.