Turbulenz

Das Dialogfeld "Turbulenz" dient zum Aktivieren oder Deaktivieren von Turbulenz, zur Auswahl des Turbulenzmodells und zum Ändern von Parametern des Modells.

Wählen Sie Laminar, um eine laminare Strömung zu simulieren.

Wählen Sie Turbulent(Vorgabeeinstellung), wenn Sie eine turbulente Strömung simulieren möchten. Die meisten Strömungen in der Technik sind turbulente Strömungen.

Wenn nicht klar ist, ob eine Strömung als laminare oder turbulente Strömung analysiert werden soll, probieren Sie es zuerst mit der Einstellung "Laminar". Wenn es sich tatsächlich um eine turbulente Strömung handelt, wird die Berechnung in der Regel innerhalb der ersten 10 bis 15 Iterationen divergieren. Ändern Sie die Einstellung in "Turbulent", und beginnen Sie erneut ab Iteration 0.

Turb.- Modell

k-epsilon

Dies ist das vorgegebene Turbulenzmodell. Es ist in der Regel genauer als das Modell "Konstante Wirbelviskosität", aber rechenintensiver und etwas weniger stabil. Es ist nicht so ressourcenintensiv wie das RNG-Modell, liefert aber immer noch gute Ergebnisse. Es ist ein allgemeines Modell mit guter Performance für eine Vielzahl von Anwendungen.

SST K-Omega

  • SST K-Omega wird für externe Aerodynamik, abgelöste Strömungen und Strömungen mit nachteiligen Druckgradienten empfohlen.
  • SST K-Omega zeigt bei einer großen Bandbreite von Strömungstypen ein stabiles Verhalten.
  • SST verwendet keine Wandfunktionen. Es simuliert die Turbulenz bis zur Wand. Um SST K-Omega wirksam einzusetzen, muss das Netz im Bereich der Begrenzungsschicht sehr fein modelliert sein. Sie können im Dialogfeld "Randschichtnetz" bis zu zehn Schichten hinzufügen.

Zusätzliche Anmerkungen zu SST K-Omega

Die SST-Modelle sind eine Mischung aus dem K-Omega-Modell von Wilcox und einer K-Epsilon-Modellvariante. Dieses Modell bietet u. a. folgende Vorteile:
  1. Die SST-Modelle reagieren weniger empfindlich auf Freiströmungsbedingungen (Strömung außerhalb der Begrenzungsschicht) als viele andere Turbulenzmodelle.
  2. Mithilfe einer Scherspannungsbegrenzung vermeiden diese Modelle den Aufbau übermäßiger turbulenzbedingter kinetischer Energie in der Nähe von Stagnationspunkten.
  3. Die SST-Modelle bieten eine Plattform für zusätzliche Erweiterungen wie SAS und Laminar-Turbulent-Übergang.
  4. Wenn der Rauheitswert einer Wand mit der Materialdefinition vorgegeben ist, berücksichtigen die SST-Modelle die Wandrauheit. Sie können die Wandrauheit simulieren, indem Sie im Dialogfeld "Turbulenz" auf die Schaltfläche Erweitert klicken und Intelligente Wandformulierung deaktivieren.

Scale Adaptive Simulation (SST K-Omega SAS)

  • SST K-Omega SAS empfiehlt sich für Strömungen mit transienten Turbulenzstrukturen, z. B. Wirbelablösungen und variable Wirbelstrukturen.
  • Sie können stationäre Simulationen mit SST K-Omega SAS durchführen. Die turbulenten Strukturen können nicht animiert werden, doch das SST K-Omega SAS-Modell prognostiziert ihre Entstehung und Form besser als eine stationäre K-Epsilon-Simulation.
  • Um SST K-Omega SAS wirksam einzusetzen, muss das Netz im Bereich der Begrenzungsschicht sehr fein modelliert sein. Sie können im Dialogfeld "Randschichtnetz" bis zu zehn Schichten hinzufügen.

Detached Eddy Simulation (SST K-Omega DES)

  • SST K-Omega DES ist ein hybrides Modell aus SST K-Omega und Large Eddy Simulation (LES)-Modellen.
  • SST K-Omega DES produziert präzise Ergebnisse für getrennte Strömungsanwendungen mit externer Aerodynamik und hoher Reynoldszahl.
  • Dieses Modell ist rechenintensiv und reagiert auf die Netzverteilung. Es funktioniert am besten mit einer gleichförmigen Netzverteilung.

Low-Re k-epsilon-Modell

Dieses Modell eignet sich besonders für turbulente Strömungen mit niedriger Geschwindigkeit. Die Reynoldszahl für eine derartige Strömung beträgt in der Regel zwischen 1500 und 5000.

Typische Anwendungsbeispiele sind Strömungsübergänge zwischen laminar und turbulent bei Rohrströmungen und externen aerodynamischen Strömungen sowie Strömungssituationen mit hoher und niedriger Geschwindigkeit.

Andere Strömungssituationen, die sich mit dem "Low-Reynolds"-Turbulenzmodell gut simulieren lassen:

  • Ein Hochdruckstrahl, der in einen großen Raum eindringt. Der Strahl ist beim Eintritt in den Raum hochgradig turbulent, doch die Strömung verlangsamt sich beträchtlich und die Reynoldszahl nimmt ab. Diese Art von Strömungen kann sehr instabil sein, wenn sie mit K-Epsilon modelliert wird.
  • Auftriebsinduzierte Strömungen (natürliche Konvektion), die kaum Turbulenzen aufweisen.

Da dieses turbulente Modell keine Wandfunktionen unterstützt, sollte "Randschichtnetz" immer aktiviert sein. Es wird empfohlen, die Anzahl der Schichten des Randschichtnetzes (mithilfe der Randschichtnetz-Steuerelemente im Dialogfeld "Vernetzung") auf 5 zu erhöhen.

Beachten Sie, dass die Analysen mit diesem Modell möglicherweise nicht so stabil sind wie mit dem K-Epsilon-Modell. Deshalb sollte die intelligente Lösungssteuerung aktiviert werden (die entsprechende Option finden Sie im Dialogfeld "Lösungssteuerung", das vom Taskdialogfeld "Berechnen" aus gestartet wird). Außerdem benötigen Analysen mit diesem Modell möglicherweise mehr Iterationen, um eine vollständig konvergierte Lösung zu erreichen.

Strömungen mit hoher Reynoldszahl, die mit dem "Low-Reynolds"-Turbulenzmodell simuliert werden, führen in der Regel zu dem gleichen Ergebnis wie das K-Epsilon-Modell. Vergleichbares gilt für laminare Strömungen, für die Sie mit diesem Modell ein ähnliches Ergebnis wie bei Verwendung einer Lösung für laminare Strömungen produzieren.

RNG

Das Turbolenzmodell RNG beansprucht mehr Rechenleistung, ist in einigen Fällen jedoch etwas genauer als das K-Epsilon-Modell, insbesondere bei abgelösten Strömungen. Dieses Modell eignet sich am besten zur Vorhersage des Wiederanlegepunktes von abgelösten Strömungen, insbesondere bei Strömungen über eine rückwärtsgewandte Stufe. Bei Verwendung des RNG-Modells wird häufig empfohlen, mit dem K-Epsilon-Modell zu beginnen, und, sobald dieses Modell recht gut konvergiert, mit dem RNG-Modell fortzufahren. 

Wirbel-Viskosität (Eddy)  

Das Modell der konstanten Wirbelviskosität ist etwas weniger streng als das K-Epsilon-Modell, jedoch numerisch stabiler. Es ist hilfreich bei turbulenten Strömungen mit niedriger Geschwindigkeit und bei einigen Strömungen mit natürlicher Konvektion. Dieses Modell ist nützlich, wenn eines der anderen Modelle divergiert.

Mischungsweg

Das Mischungsweg-Modell ist in erster Linie für die Analyse interner natürlicher Konvektion bestimmt. In einigen Fällen reduziert das Mischungsweg-Modell nachweislich die Laufzeiten und ermöglicht höhere Genauigkeit als das standardmäßige Turbulenzmodell für interne temperaturabhängige Strömungen. 

Beachten Sie, dass das Mischungsweg-Modell für gasförmige Strömungen (z. B. Luft) bestimmt ist und keine guten Ergebnisse liefert, wenn das Arbeitsmedium eine Flüssigkeit (z. B. Wasser) ist.

Autom. Start

"Autom. Start" steuert den automatischen Turbulenzen-Startalgorithmus (ATSU-Algorithmus).

Dieser Algorithmus führt eine Reihe von Schritten aus, um Lösungen für turbulente Strömungen zu gewinnen. Der Algorithmus beginnt mit 10 Iterationen unter Verwendung eines Modells mit konstanter Wirbelviskosität. Das heißt, die K- und Epsilon-Gleichungen werden nicht berechnet. Mit dieser Lösung als erster Schätzung wird das Zweigleichungs-Turbulenzmodell gestartet. In Iteration 10 zeigen die Daten der Konvergenzüberwachung eine Spitze für die K- und Epsilon-Gleichungen. Anschließend werden weitere Schritte durchgeführt, um allmählich zum konvergierten Ergebnis zu gelangen. Diese Schritte können nach 10, 20 und 50 Iterationen Spitzen in den Daten der Konvergenzüberwachung zur Folge haben. Nach 50 Iterationen wird der ATSU-Algorithmus automatisch deaktiviert.

Wenn "Sperren bei" ausgewählt ist, bleibt der ATSU-Algorithmus während der gesamten Analyse aktiv, bis der Benutzer ihn manuell durch Klicken deaktiviert. Wenn Konvergenzschwierigkeiten nach Iteration 50 auftreten (Divergenz innerhalb von 10 Iterationen), sollten Sie "Sperren bei" aktivieren. Bei aktiviertem ATSU-Algorithmus sollten Sie mindestens 200 Iterationen ausführen, um sicherzustellen, dass die Lösung für die turbulente Strömung konvergiert.

Wenn "Erweitern" ausgewählt ist, wird eine erweiterte Version des ATSU-Algorithmus aktiviert. Diese Methode eignet sich für schwierige Analysen, insbesondere Analysen kompressibler Strömungen. Mit dieser Version des Algorithmus sollten mindestens 400 Iterationen ausgeführt werden.

Verhältnis Turb./Lam.

Das "Verhältnis Turb./Lam." ist das Verhältnis zwischen der effektiven (turbulenten) Viskosität und dem laminaren Wert. Er dient zur Schätzung der effektiven Viskosität zu Beginn der Analyse der turbulenten Strömung. Bei den meisten Analysen turbulenter Strömungen ist die effektive Viskosität um 2-3 Größenordnungen höher als der laminare Wert. Der Vorgabewert ist in der Regel für die meisten Strömungen geeignet.

Für das Mischungsweg-Modell stellt das "Verhältnis Turb./Lam." die obere Grenze für die Wirbelviskosität dar. Die Freiströmungs-Wirbelviskosität erreicht bei diesem Wert ihr Maximum.

Für das Wirbelviskositätsmodell (Eddy) ist dies die Wirbelviskosität, auch wenn Sie den Wert bei einem Neustart ändern.

Für alle anderen Modelle (K-Epsilon, RNG, Modell mit niedriger Reynoldszahl) ist der angegebene Wert der Ausgangspunkt oder Startwert für die Wirbelviskosität.

Häufig ist es nützlich, für Strömungen, bei denen ein kleiner Hochdruckstrahl in eine große Druckkammer schießt, den Wert von "Verhältnis Turb./Lam". auf 1000 oder sogar 10,000 zu erhöhen. Solche Strömungen sind in der Regel impulsinduziert und profitieren von einer größeren turbulenten Viskosität am Anfang der Berechnung.

Erweiterte Parameter

Im Dialogfeld Erweitert stehen weitere Parameter zur "Optimierung" des Turbulenzmodells zur Verfügung. Die meisten Parameter werden im Abschnitt Theoretische Beschreibung für die jeweilige turbulente Strömung erläutert und sollten generell nicht geändert werden, sofern Sie nicht sehr vertraut mit der Theorie der Zweigleichungs-Turbulenz sind. Die folgenden Parameter können jedoch mit etwas mehr Flexibilität modifiziert werden:

Turbulenzintensität

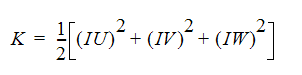
Der Turbulenzintensitätsfaktor steuert die turbulente kinetische Energie in der Einlassströmung. Der Vorgabewert beträgt 0.05 und sollte selten größer als 0.5 sein. Die Formel zur Berechnung der turbulenten kinetischen Energie am Einlass lautet:

I ist der Intensitätsfaktor, und U, V und W sind Geschwindigkeitskomponenten.

Intelligente Wandformulierung

"Intelligente Wandformulierung" ist eine skalierbare Wandformulierung, welche die Stabilität und Genauigkeit von SST-Turbulenzmodellen verbessert. Sie verringert die Empfindlichkeit von Ergebnissen in Bezug auf den Grad der Netzverfeinerung entlang der Wand.

"Intelligente Wandformulierung" ist vorgabemäßig für die SST K-Omega-Modelle aktiviert.

Darüber hinaus kann "Intelligente Wandformulierung" für K-Epsilon aktiviert werden. Es hat sich gezeigt, dass dieser Parameter in folgenden Situationen gute Dienste leistet:

  • Bei Verwendung von Netzadaption zeigt "Intelligente Wandformulierung" in Verbindung mit K-Epsilon keine Leistungsminderung, wenn das Netz verfeinert ist.
  • "Intelligente Wandformulierung" mit K-Epsilon eliminiert die Empfindlichkeit gegenüber dem Abfall des "y+"-Werts bis unter die Unterschicht (< 35).
  • "Intelligente Wandformulierung" mit K-Epsilon verbessert nachweislich die Genauigkeit und Konvergenzrate für einige Simulationen.

Verwandte Themen

Erweiterte Einstellungen

Mathematische Grundlage