Dicke Verbundwerkstoffelemente

Dicke Verbundwerkstoffelemente sind isoparametrische dicke Schalenelemente mit drei oder vier Knoten, die im dreidimensionalen Raum erstellt wurden. Diese Elemente basieren auf der Mindlin-Theorie und unterstützen die Fehlerkriterien Tsai-Wu, maximale Spannung und maximale Dehnung. Kernzerkleinerungsspannungen sind möglich. Dicke Verbundwerkstoffelemente werden zum Modellieren von Strukturen verwendet, z. B. Luftfahrtkomponenten oder andere Produkte aus Verbundwerkstoffen.

Die Flächennummer eines Elements wird durch die höchste Flächennummer in den das Element definierenden Zeilen bestimmt. Die Flächennummer steuert die Elementlasten, z. B. den Druck.

Der Drehungsfreiheitsgrad außerhalb der Ebene wird bei dicken Verbundwerkstoffelementen nicht berücksichtigt. Sie können die anderen Drehungsfreiheitsgrade und alle Parallelverschiebungs-Freiheitsgrade entsprechend Ihren Anforderungen anwenden.

Verwendung von dicken Verbundwerkstoffelementen

  • Zum Modellieren eines Schalenelements mit mehreren Layern, wobei ein Layer deutlich dicker ist als die anderen.
  • Die Länge und Breite der Schale beträgt mindestens das zwei- oder dreifache der Dicke.
  • Die Elemente sind zunächst flach (planar).

Ausrichten der Schichten in dicken Verbundwerkstoffelementen

Zur Erläuterung der Terminologie: Eine Lage ist ein Stapel verbundener Schichten (Layer). Jedes Element ist ein Laminat. Die über die Dicke verteilten Schichten sind in verschiedenen Richtungen relativ zur Richtung des Laminats ausgerichtet. Für die meisten Elementtypen reichen zwei Achsensätze aus, um die Position und Ausrichtung des Elements zu definieren. Bei Verbundstoffelementen werden hingegen vier Achsensätze verwendet.

Globale Achsen

Die globalen Achsen X, Y und Z sind die Hauptachsen, die zum Definieren der Koordinaten an den Knotenpunkten des endlichen Elementmodells verwendet werden.

Elementachsen

Jedes dicke Verbundwerkstoffelement verfügt über einen eigenen Satz von lokalen Achsen. Weitere Informationen finden Sie im Abschnitt Steuern der Ausrichtung von dicken Verbundwerkstoffelementen weiter unten.

Vierseitige Elemente: Als Ursprung der Elementachsen A, B und C wird der Zentroid des Elements N1-N2-N3-N4 definiert. Die lokale A-Achse erstreckt sich vom Mittelpunkt der Seite N1-N4 zum Mittelpunkt der Seite N2-N3. Die lokale Achse c ist als Vektor senkrecht zum Schalenelement definiert, wobei die Rechte-Hand-Regel für die Knotennummerierung (N1 - > N2 - > N3 - > N4) verwendet wird. Siehe hierzu Abbildung 1.

Dreieckige Elemente: Als Ursprung der Elementachsen A, B und C wird der erste Knoten N1 des Elements N1-N2-N3 definiert. Die lokale A-Achse erstreckt sich vom Knoten N1 zum Knoten N2. Die lokale Achse c ist als Vektor senkrecht zum Schalenelement definiert, wobei die Rechte-Hand-Regel für die Knotennummerierung (N1 - > N2 - > N3) verwendet wird. Die lokale Achse b ist als Vektor senkrecht zur Achse a und Achse c unter Beachtung der Rechte-Hand-Regel definiert. Siehe Abbildung 3.

Anmerkung: In anderen Elementtypen, z. B. Schalen, werden die lokalen Elementachsen als 1-2-3 bezeichnet. Verwechseln Sie diese nicht mit den unten beschriebenen Schichtachsen.

Lageachsen

Die Lageachsen X, Y und Z sind willkürliche Bezugsachsen, mit denen der Schnittwinkel jedes Layers in Bezug auf die Lage definiert werden kann. Siehe hierzu Abbildung 1.

Der Winkel α wird gegen den Uhrzeigersinn (entsprechend der Rechte-Hand-Regel um die C-Achse des lokalen Elements) von der positiven A-Achse des lokalen Elements zur X-Achse der Lage gemessen. Siehe hierzu Abbildung 1. Dieser Winkel kann im Dialogfeld Elementdefinition auf der Registerkarte Allgemein im Abschnitt Materialachsenausrichtung definiert werden. Wenn die Option Festgelegten Winkel verwenden aktiviert ist, wird die Lageachse X in der Elementebene und in dem angegebenen Winkel zur Elementachse ausgerichtet. Die Normale des Elements fungiert als Lagematerialachse Z. Die Lagematerialachse Y wird durch die Rechte-Hand-Regel (Z x X = Y) bestimmt. Wenn die Option Festgelegten Vektor verwenden aktiviert ist, wird ein benutzerdefinierter Vektor mithilfe des Ursprungs und des eingegebenen Punkts definiert. Dieser Vektor wird auf das Element projiziert. Die Projektion dient dann als Lageachse X. Die Normale des Elements fungiert als Lageachse Z, und Lageachse Y wird anhand der Rechte-Hand-Regel (Z x X = Y) bestimmt. Der Winkel α wird in diesem Fall durch den Gleichungslöser bestimmt.

Schichtachsen

Die Layerachse 1 ist die Achse entlang der Faser jedes einzelnen Layers. Die Layerachse 2 ist lotrecht zur Faser jedes einzelnen Layers in der Elementebene angeordnet. Die Layer-Achse 3 ist lotrecht zum Element und daher parallel zur lokalen Elementachse C angeordnet.

Die Layer in der positiven lokalen Elementachse C sind nummeriert. Siehe Abbildungen 2 und 3.

Der Winkel ϑ wird gegen den Uhrzeigersinn von der positiven x-Achse des Laminats zu der Achse 1 der Schicht gemessen (Rechte-Hand-Regel um die lokale Achse c des Elements). Siehe hierzu Abbildung 1. Dies wird in der Spalte Ausrichtungswinkel der Tabelle Komposite-Laminatstapelsequenz auf der Registerkarte Laminat des Dialogfelds Elementdefinition.

Abbildung 1: Beispiel für typische Verbundwerkstoffelemente und für die Definition von Verbundwerkstoffwinkeln

Geben Sie den Winkel α i (Festgelegten Winkel verwenden) an, oder der Gleichungslöser berechnet den Winkel (Festgelegten Vektor verwenden). Sie können den Winkel ϑ für jede Schicht eingeben.

Abbildung 2: Beispiel für die lokalen Elementachsen (A, B, C), die Layer-Achsen (1, 2, 3) und die Layer-Nummerierung

Achse 1 ist parallel zur Faser, Achse 2 verläuft in der Ebene des Elements und senkrecht zur Faser und Achse 3 verläuft senkrecht zur Ebene des Elements.

Abbildung 3: Beispiel für die lokalen Elementachsen (A, B, C), die Layer-Achsen (1, 2, 3) und die Layer-Nummerierung bei dreieckigen Elementen

Geben Sie den Winkel α (Festgelegten Winkel verwenden) an, oder der Gleichungslöser berechnet den Winkel (Festgelegten Vektor verwenden). Sie können den Winkel ϑ für jede Schicht eingeben.

Parameter für dicke Verbundwerkstoffelemente

Bei Verwendung von dicken Verbundwerkstoffelementen stehen drei Fehlerkriterien zur Verfügung. Diese können im Dropdown-Menü Fehlerkriterien auf der Registerkarte Allgemein des Dialogfelds Elementdefinition ausgewählt werden. Bei Auswahl der Option Keine, wird keine Fehleranalyse durchgeführt. Die drei Optionen werden in den folgenden Abschnitten beschrieben.

Tsai-Wu

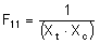
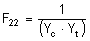
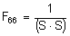
Bei Aktivierung dieser Option wird anhand des Tsai-Wu-Kriteriums (oder quadratisches Tensorpolynom) bestimmt, ob das Bauteil die Strukturanalyse besteht oder nicht. Dieses Kriterium berücksichtigt die Interaktion zwischen Spannungen in zwei Richtungen für einen orthotropischen Layer unter Layer-Spannung und wird mithilfe der folgenden Gleichung bestimmt:

[1]

Dabei gilt:

Xt = Axiale oder longitudinale Festigkeit bei Zug (>0)

Xc = Axiale oder longitudinale Festigkeit bei Druck (>0)

Yt = Transversale Festigkeit bei Zug (>0)

Yc = Transversale Festigkeit bei Druck (>0)

S = Scherfestigkeit

F12 = Materialeigenschaft Spannungsinteraktion wird durch biaxiale Tests bestimmt. Wenn F12 größer als 0 ist und diese beiden Bedingungen nicht erfüllt sind, dann wird F12 gleich 0 festgelegt:

σ 1= Spannung in Hauptmaterial , Richtung 1

σ 1 = Spannung in Hauptmaterial, Richtung 2

τ 12 = Scherspannung in Hauptmaterialebene 12

Der Wert F in Gleichung 1 wird in die Datei filename.s für jeden Layer ausgegeben.

Maximale Spannung

Wenn diese Option aktiviert ist, wird anhand der maximalen Spannungskriterien bestimmt, ob die Strukturanalyse für das Bauteil fehlschlägt. Das Kriterium wird wie folgt angegeben:

Kriterium In der Ebene:

[2]

Kriterium Außerhalb der Ebene:

σ Kern < Zc

τ 13 < S 13

τ 23 < S23

[3]

σ 1 = Berechnete Spannung in Richtung 1

σ 2 = Berechnete Spannung in Richtung 2

σ Kern = Berechnete Normalspannung in der Kernschicht (Richtung 3)

τ 12 = Berechnete Scherspannung in der Ebene des Elements (Ebene 1-2)

τ 13 = Berechnete Scherspannung in der Ebene lotrecht zum Element (Ebene 1-3)

τ 23 = Berechnete Scherspannung in der Ebene lotrecht zum Element (Ebene 2-3)

Xc = Zulässige Druckspannung in Richtung 1 (>0)

Yc = zulässige Druckspannung in Richtung 2 (> 0)

Xt = Zulässige Zugspannung in Richtung 1 (>0)

Yt = Zulässige Zugspannung in Richtung 2 (>0)

Zc = Zulässige Druckspannung der Kernschicht in Richtung 3 (>0)

S = Zulässige Scherspannung in der Ebene des Elements (Ebene 1-2) (>0)

S13 = Zulässige Scherspannung lotrecht zur Ebene des Elements (Ebene 1-3) (>0)

S23 = Zulässige Scherspannung lotrecht zur Ebene des Elements (Ebene 2-3) (>0)

Wenn Sie die drei Bedingungen von Gleichung (2) nicht erfüllt werden, ist das Material in der Richtung in die Ebene fehlgeschlagen. Wenn Sie die drei Bedingungen von Gleichung (3) nicht erfüllt werden, ist das Material in der Richtung aus der Ebene fehlgeschlagen.

Maximale Dehnung

Wenn diese Option aktiviert ist, wird anhand der maximalen Dehnungskriterien bestimmt, ob die Strukturanalyse für das Bauteil fehlschlägt. Das Kriterium wird wie folgt angegeben:

[4]

ε 1 = Berechnete Dehnung in Richtung 1

ε 2 = Berechnete Dehnung in Richtung 2

γ 12 = Berechnete Scherdehnung in der Ebene des Elements (Ebene 1-2)

T1c = Zulässige Druckdehnung in Richtung 1 (>0)

T2c = Zulässige Druckdehnung in Richtung 2 (>0)

T1t = Zulässige Zugdehnung in Richtung 1 (>0)

T2t = Zulässige Zugdehnung in Richtung 2 (>0)

S = Zulässige Scherdehnungin der Ebene des Elements (Ebene 1-2) (>0)

Wenn Sie die drei Bedingungen von Gleichung (4) nicht erfüllt werden, ist das Material in der Richtung in die Ebene fehlgeschlagen. Für das Fehlerkriterium der maximalen Dehnung werden keine Berechnungen aus der Ebene heraus durchgeführt.

Geben Sie die Anzahl der Schichten, die den Kern des dicken Verbundwerkstoffelements bilden, in das Feld Schichtstoffkern ein. Die Anzahl der Kernschichten muss stets definiert werden. Die Scherspannungen aus der Ebene heraus, die in einem dicken Verbundwerkstoffelement wirken, werden vollständig von dem einen angegebenen Kern-Layer aufgenommen.

Der Temperaturunterschied für Aushärtung ist definiert als T1-T0, wobei T1 die Temperatur, bei der die Schichten insgesamt zur Bildung einer Lage gesperrt sind, und T0 die Raumtemperatur ist. Die Raumtemperatur ist die Temperatur, bei der die Bauteile im Modell zusammengesetzt werden, bevor externe Lasten (z. B. Kräfte, Drücke und Temperaturen) angewendet werden. (Im Normalfall wird die Raumtemperatur auch als spannungsfreie Referenztemperatur bezeichnet. Wegen der Restspannungen aufgrund von Aushärtung wird der Begriff „spannungsfrei“ in dieser Diskussion vermieden.) Da Schichten verschiedene Winkel aufweisen, führen die unterschiedlichen Schrumpfbeträge der Schichten zu Dehnung bei der Aushärtung. Mechanische Dehnungen aufgrund von externen Lasten werden von dieser Dehnung bei der Aushärtung überlagert.

Anmerkung: Bei der Berechnung des Temperaturunterschieds für die Aushärtung wird davon ausgegangen, dass Verzerrungen bei der Abkühlung des Verbundwerkstoffelements nicht eingeschränkt werden. Alle Spannungen, die dadurch verursacht werden, dass das Verbundwerkstoffelement in einer anderen Form (z. B. flach) gehalten wird, werden nicht berücksichtigt. Technisch gesehen sollte das Netz in der verformten Form erstellt werden, um der Dehnung bei der Aushärtung zu entsprechen.

Um eine Thermolast als Teil der externen Lasten anzuwenden, geben Sie den Unterschied der Raumtemperatur T0 und der Betriebstemperatur T2 im Feld Mittlerer Temperaturunterschied an. Geben Sie den Wert T2-T0 ein. Auf die Knoten des Verbundwerkstoffelements angewendete Temperaturen werden ignoriert.

Auf der Registerkarte Laminat werden die Dicke jeder Schicht in dem Verbundwerkstoffelement, der Ausrichtungswinkel der Faserrichtung (Achse 1) und die Materialeigenschaften definiert. Sie können die Materialeigenschaften für jede Schicht angeben, indem Sie in die Spalte Material klicken. Weitere Informationen finden Sie weiter oben unter Ausrichten der Schichten in dicken Verbundwerkstoffelementen.

Tipp:
  • Zur Berücksichtigung des mittleren Temperaturunterschieds muss unter Analysenparameter der thermische Multiplikator zugewiesen werden. Weitere Informationen finden Sie unter Einrichten und Durchführen der Analyse: Linear: Analysenparameter: Statische Spannung mit linearen Materialmodellen.
  • Verwenden Sie die Schaltfläche Zeile kopieren, um vorhandene Eingaben zu kopieren und Wiederholungsserien zu erstellen. Geben Sie entweder eine einzelne zu kopierende Schicht oder einen Bereich von Schichten, getrennt durch einen Bindestrich (-) an, z. B. 4-8. Geben Sie im Feld Vor Zeile einfügen eine beliebige Zeilennummer nach dem letzten Eintrag an, um eine Kopie am Ende der Stapelsequenz einzufügen.
  • Durch Klicken auf die Schaltfläche Exportieren wird nur die Stapelsequenz (Dicke und Ausrichtungswinkel) gespeichert. Die Materialeigenschaften werden nicht gespeichert. Speichern Sie die Materialeigenschaften (und alle Bauteilinformationen) über den Befehl Bauteilattribute in Datei speichern in einer Datei. Weitere Informationen zu den Befehlen Speichern und Lesen finden Sie im Abschnitt Verschiedene Funktionen (Sichtbarkeit, Unterdrücken, Kopieren und Einfügen) auf der Seite Einrichten und Durchführen der Analyse: Verwenden der FEM-Editor-Umgebung.

Steuern der Ausrichtung dicker Verbundwerkstoffelemente

Wenn Sie die Lageachse mithilfe der Methode Festgelegten Winkel verwendenangegeben wurde, ist die Angabe der IJ-Seite des Elements (bzw. der N1-N2-Seite bei den Ziffern 1, 2, 3) wichtig für die Ausrichtung der Fasern. Beachten Sie, die die Schicht- und Lageachsen mit den Elementachsen und diese wiederum mit der IJ-Seite des Elements im Zusammenhang stehen. Hierzu wird die Registerkarte Ausrichtung im Dialogfeld Elementdefinition verwendet. Das Dropdown-Menü Methode enthält drei Optionen, mit denen Sie angeben können, welche Seite des Elements die IJ-Seite ist. Bei Auswahl der Option Standard wird die Seite des Elements mit der höchsten Flächennummer als IJ-Seite verwendet. Wenn die Option I-Knoten ausrichten aktiviert ist, muss eine Koordinate in den Feldern X-Koordinate, Y-Koordinate und Z-Koordinate definiert werden. Der Knoten auf einem Element, die sich am nächsten an diesem Punkt befindet, wird als I-Knoten verwendet. Der J-Knoten ist der nächste Knoten auf dem Element entsprechend der Rechte-Hand-Regel um die Normalenachse des Elements (Achse +3). Wenn die Option IJ-SEITE ausrichten ausgewählt ist, muss eine Koordinate in den Feldern X-Koordinate, Y-Koordinate und Z-Koordinate im Abschnitt Knotenanordnung festgelegt werden. Die Seite eines Elements, die sich am nächsten an diesem Punkt befindet, wird als IJ-Seite verwendet. Die I- und J-Knoten werden so zugewiesen, dass der J-Knoten mithilfe der Rechte-Hand-Regel um die Normalenachse des Elements (Achse +3) entlang des Elements ausgehend vom I-Knoten erreicht werden kann.

Wenn nur die IJ-Seite (oder N1-N2-Seite) alleine festgelegt wird, kann nicht gesteuert werden, ob die Knotennummerierung N1-N2-N3-N4 im Uhrzeigersinn oder gegen den Uhrzeigersinn erfolgt. Dazu muss angegeben werden, welche Richtung die positive normale Richtung ist. (Die Reihenfolge der Layer 1, 2, 3, 4, N ist außerdem von der Richtung der Elementnormalen abhängig.) Geben Sie zu diesem Zweck einen Punkt unter Verwendung der Felder X-Koordinate, Y-Koordinate und Z-Koordinate im Abschnitt Element-Normale der Registerkarte Ausrichtung ein. Die Normalenachse (Achse C, Z und 3) ist lotrecht zum Element und weist von den Koordinaten der Elementnormalen weg. Siehe Abbildung 4.

Abbildung 4: Festlegen der Element-Normalen

Die Kantenansicht des Verbundwerkstoffelements wird dargestellt. 

Die Element-Knotennormale wird zudem verwendet, um die Ausrichtung des auf Verbundwerkstoffelemente angewendeten Drucks zu steuern. Ein positiver Druck weist in der Richtung der Normalenachse und damit von der Element-Knotennormale weg.

So verwenden Sie dicke Verbundwerkstoffelemente

  1. Vergewissern Sie sich, dass ein Einheitensystem definiert ist.
  2. Vergewissern Sie sich, dass das Modell einen Strukturanalysetyp verwendet.
  3. Klicken Sie mit der rechten Maustaste auf die Überschrift Elementtyp für das Bauteil, das Sie als dickes Verbundwerkstoffelement definieren möchten.
  4. Wählen Sie den Befehl Dicke Verbundwerkstoffe (Sandwich) aus.
  5. Klicken Sie mit der rechten Maustaste auf die Überschrift Elementdefinition.
  6. Wählen Sie den Befehl Elementdefinition bearbeiten.
  7. Um ein Fehlerkriterium in der Analyse zu verwenden, wählen Sie dieses im Dropdown-Menü Fehlerkriterium aus.
  8. Geben Sie den Layer mit den größten Auswirkungen auf das Verhalten im Feld Schichtstoffkern an.
  9. Wenn Sie eine thermische Spannungsanalyse durchführen und ein Temperaturunterschied beim Aushärtungswert für das Verbundwerkstoffelement vorhanden ist, geben Sie diesen Wert in das Feld Temperaturunterschied für Aushärtung an.
  10. Wenn Sie eine thermische Spannungsanalyse durchführen, geben Sie einen Wert in das Feld Mittlerer Temperaturunterschied ein. Dieser Wert entspricht der Differenz zwischen der Analysetemperatur und der spannungsfreien Temperatur.
  11. Um die Ausrichtung der Lageachse (X-Y-Z) mithilfe eines Winkels zu definieren, wählen Sie die Option Festgelegten Winkel verwenden im Dropdown-Menü Methode aus, und geben Sie den Wert in das Feld Winkel ein. Der Winkel wird gegen den Uhrzeigersinn (Rechte-Hand-Regel um die lokale Elementachse C) von der Elementachse A zu den Lageachsen gemessen. Siehe Abbildung 1.
  12. Um die Ausrichtung der Lageachse mithilfe eines Vektors zu definieren, wählen Sie die Option Festgelegten Vektor verwenden im Dropdown-Menü Methode aus, und geben Sie den Vektor in die Felder X-Koordinate, Y-Koordinate und Z-Koordinate ein. Der Winkel α in Abbildung 1 wird mit dem Gleichungslöser berechnet.
  13. Klicken Sie auf die Registerkarte Laminat.
  14. Definieren Sie die Dicke der einzelnen Schichten des Verbundwerkstoffelements in der Spalte Dicke.
  15. Definieren Sie die Schichtachse (1-2-3) für jede Schicht relativ zur Laminatachse in der Spalte Ausrichtungswinkel. Dies ist der Winkel ϑ in Abbildung 1 weiter oben.
  16. Klicken Sie in die Spalte Material , um die Materialeigenschaften für jede Schicht anzugeben.
  17. Klicken Sie auf die Registerkarte Ausrichtung.
  18. Geben Sie die Koordinate einer Element-Normalen ein. Die Element-Normale ist wichtig, da der Ausrichtungswinkel q für jede Schicht der Rechte-Hand-Regel um die Achse folgt, die senkrecht zum Element verläuft, und die Richtung der Schichten durch die Dicke von der Element-Normalen abhängt. (Darüber hinaus wird ein positiver Druck auf das Element in der Richtung der positiven Element-Normalen angewendet.)
  19. Wenn die Schichtachse mithilfe eines Winkels festgelegt wird (α in Abbildung 1), ist es wichtig, die IJ Seite anzugeben. Wählen Sie die Knotenreihenfolge Methode, und geben Sie geeignete X-, Y- und Z-Koordinaten ein.
  20. Klicken Sie auf die Schaltfläche OK.