Dieses Materialmodell ist für 2D-, Ziegel- und Tetraederelemente verfügbar. Das Materialmodell Blatz-Ko umfasst eine starke Kopplung zwischen volumetrischen und nichtvolumetrischen Bauteilen, wie z. B. das Kompressionsmodul. Eine separate Bestimmung wie bei anderen hyperelastischen Materialmodellen ist nicht möglich. Die Eigenschaften von Blatz-Ko-Materialien sind im Folgenden aufgeführt. Zusätzlich zu diesen Eigenschaften müssen möglicherweise noch Isotrope Materialeigenschaften definiert werden.
Klicken Sie auf die Schaltfläche Kurvenanpassung im Dialogfeld Elementenmaterial angeben, um die Kurve einpassen-Routine zu verwenden. Diese Routine berechnet die Materialkonstanten anhand von Spannungs-/Dehnungsdaten.
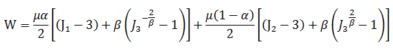
Die Potenzialfunktion des Materials lautet wie folgt:

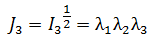
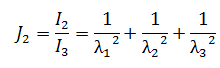
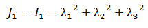
Dabei gilt:
Schermodul
Das Schermodul (μ).
Alpha
Alpha (α) ist eine Materialkonstante, die während der Ableitung der Dehnungsenergieform eingeführt wurde. Dieser Wert wird mithilfe des Kurvenanpassungsalgorithmus basierend auf den Spannungs-/Dehnungskurven abgeleitet. α = 1 wird für gummiähnliche Materialien empfohlen . z. B. µ = 200711.2 Pa, α = 1 und β = 13.3 werden für Polyurethangummi in den Blatz-Ko-Dokumenten empfohlen.
Poissonsche Konstante
Die Poissonsche Konstante (ν) des Materials.