Neo-Hook'sche Materialeigenschaften

Das Neo-Hook'sche Materialmodell ist ein hyperelastisches Materialmodell und ist für 2D-, Brick- und Tetraederelemente verfügbar. Die Materialeigenschaften sind unten aufgeführt.

Klicken Sie auf die Schaltfläche Kurvenanpassung im Dialogfeld Elementenmaterial angeben, um die Kurve einpassen-Routine zu verwenden. Diese Routine berechnet die Materialkonstanten mit gemessenen Spannungs-/Dehnungsdaten.

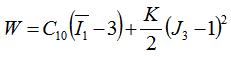
Die potenzielle Funktion des Neo-Hook'schen Materials ist wie folgt:

Dabei gilt:

Anmerkungen:

  • Das anfängliche Schermodul μ0 kann wie folgt abgeleitet werden: μ0 = 2C10 .
  • K = κ0, das Kompressionsmodul.