Damaged Constitutive Relations for Cohesive Materials

View the constitutive relations used for delamination.

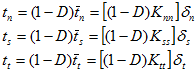
The stiffness components (Kij) that appear in the traction/separation constitutive relations are assumed to be functions of the damage variable D. For simplicity sake, we will adopt the following linear form of the damaged constitutive relations.

In the above equations, tn, ts, tt (without over-bars) denote the actual tractions in the damaged cohesive material, whereas denote the tractions computed using the original un-damaged stiffnesses in conjunction with the current relative displacements. The quantities represent the relative displacements between the upper and lower surfaces of the cohesive element in the n, s and t directions of the element coordinate system.

In the event that < 0 (cohesive material under compressive traction), tn is assumed to be unaffected by damage D, i.e., we use

Interestingly, note that if the cohesive material exhibits full coupling and the cohesive element is subject to compression, the material stiffness matrix is no longer symmetric.

If we maintain the assumption that normal and shearing tractions do not exhibit coupling, the damaged constitutive relations can be expressed simply as

unless < 0, when we use .