Hashin Criterion

The Hashin criterion [16] identifies four different modes of failure for the composite material.

The four modes are: tensile fiber failure, compressive fiber failure, tensile matrix failure, compressive matrix failure.

= Value of σ11 at longitudinal tensile failure

= Value of σ11 at longitudinal compressive failure

= Value of σ22 at transverse tensile failure

= Value of σ22 at transverse compressive failure

= Absolute value of σ12 at longitudinal shear failure

= Absolute value of σ23 at transverse shear failure

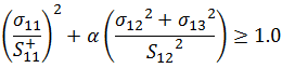
If , the Tensile Fiber Failure Criterion is:

If , the Compressive Fiber Failure Criterion is:

If , the Tensile Matrix Failure Criterion is:

If , the Compressive Matrix Failure Criterion is:

Note: The Hashin equations require a user-specified parameter: α.
α

User-specified coefficient that determines the contribution of the longitudinal shear stress to fiber tensile failure. Allowable range is 0.0α1.0, and the default value is α=0.