The Reduced Strain Closure (RSC) model is an option for calculating fiber orientation when performing a fiber orientation analysis.

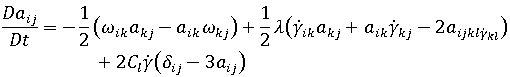
 is the fiber orientation tensor.
 is the fiber orientation tensor.  is the vorticity tensor, and
 is the vorticity tensor, and  is the deformation rate tensor.
 is the deformation rate tensor.  is the fiber interaction coefficient, a scalar phenomenological parameter, the value of which is determined by fitting to experimental results. This term is added to the original Jeffery form to account for fiber-fiber interactions.
 is the fiber interaction coefficient, a scalar phenomenological parameter, the value of which is determined by fitting to experimental results. This term is added to the original Jeffery form to account for fiber-fiber interactions. 
 .
.  , is replaced by
, is replaced by  
 and
 and  , are defined as:
, are defined as:  

Here,  is the pth eigenvalue of the orientation tensor
 is the pth eigenvalue of the orientation tensor  , and
, and  is the ith component of the pth eigenvector of the orientation tensor
 is the ith component of the pth eigenvector of the orientation tensor  .
. 
The scalar factor  is a phenomenological parameter, and
 is a phenomenological parameter, and  to model the slow orientation dynamics. The smaller the scalar factor
 to model the slow orientation dynamics. The smaller the scalar factor  , the slower the orientation tensor develops with flow, and the thicker the orientation core layer becomes. When
, the slower the orientation tensor develops with flow, and the thicker the orientation core layer becomes. When  = 1, the RSC model is reduced to the original Folgar-Tucker model.
 = 1, the RSC model is reduced to the original Folgar-Tucker model. 
J. Wang, J.F. O’Gara, and C.L. Tucker III, An Objective Model for Slow Orientation Dynamics in Concentrated Fiber Suspensions: Theory and Rheological Evidence. Journal of Rheology, 52(5):1179-1200 (2008).