Whilst the full non-linear incremental/iterative method of following the response of a structure is completely general and relatively precise, it can also involve a great deal of computational effort.
Because of the fundamental importance of buckling, and its design implications, a simplified method that provides an approximation to the critical load level at which buckling can be expected to occur, will clearly be valuable. It turns out that such a method can be devised provided we assume that the prebuckling response is linear and that the effect of prebuckling displacements is negligible. The method, which we call buckling analysis, is also referred to as initial stability or classical bifurcation analysis.
The following sections describe the Generalized buckling analysis method and then the two specific methods used by the analysis.

 is the critical level of the applied load distribution,
 is the critical level of the applied load distribution,  is an arbitrary level of the same load distribution (reference load), and
 is an arbitrary level of the same load distribution (reference load), and  is a scalar multiplier.
 is a scalar multiplier. With these definitions, buckling occurs when the load multiplier  reaches a critical value
 reaches a critical value  . The starting point in buckling analysis is the assumption that each coefficient of the stiffness matrix
. The starting point in buckling analysis is the assumption that each coefficient of the stiffness matrix  varies linearly with the applied load. As described above, we can think of the applied load as some parameter (say
 varies linearly with the applied load. As described above, we can think of the applied load as some parameter (say  ) multiplied by a constant vector of forces
) multiplied by a constant vector of forces  .
. 
 and
 and  ), and our assumption of linearity, the stiffness matrix at any given equilibrium configuration,
), and our assumption of linearity, the stiffness matrix at any given equilibrium configuration,  , is given by:
, is given by: 
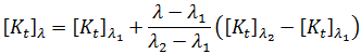
 , and the change in stiffness from
, and the change in stiffness from  to
 to  as
 as  , then:
 , then: 
 , both at the same load level.
, both at the same load level. This is illustrated in the Figures below, which shows the equilibrium configurations for the two basic types of buckling (these are discussed in more detail later).

Limit point
.(a) load, (b) Deflection

Bifurcation point
.(a) load, (b) Deflection
 , we can therefore write:
, we can therefore write: 

 denotes the infinitesimal) displacements between the two equilibrium configurations. Subtracting the first equation from the second gives:
 denotes the infinitesimal) displacements between the two equilibrium configurations. Subtracting the first equation from the second gives: 
 is a function of
 is a function of  . From linear algebra, we know that solving the above equation is equivalent to solving:
. From linear algebra, we know that solving the above equation is equivalent to solving: 
 is zero. The equation to be solved for the generalized buckling problem is therefore: which is an eigen-problem, in which  is an unknown to be found. The above equation can be solved by standard methods (for example subspace iterations).
 is zero. The equation to be solved for the generalized buckling problem is therefore: which is an eigen-problem, in which  is an unknown to be found. The above equation can be solved by standard methods (for example subspace iterations).  , we find:
, we find: 
 = 0 and
= 0 and  = 1, that is take zero and full applied load as the reference states. In this case,
= 1, that is take zero and full applied load as the reference states. In this case,  reduces to
 reduces to  and the equation becomes:
 and the equation becomes: 
 into two components:
 into two components: 
 is a first order stiffness matrix and
 is a first order stiffness matrix and  is a higher order stiffness matrix (also called stress or geometric matrix).
 is a higher order stiffness matrix (also called stress or geometric matrix).  is a linear function of material stresses,
 is a linear function of material stresses,  .
.  =0 means that
=0 means that  = 0. Thus:
 = 0. Thus: 
 =1 is purely linear, that is stresses and
=1 is purely linear, that is stresses and  will be evaluated using original coordinates. Another assumption made in the classical method is that the first order part of the stiffness does not change with load, that is
 will be evaluated using original coordinates. Another assumption made in the classical method is that the first order part of the stiffness does not change with load, that is  . In Total Lagrangian terminology, this is equivalent to neglecting the so-called "displacement-matrix" effect. So the above equation reduces to:
. In Total Lagrangian terminology, this is equivalent to neglecting the so-called "displacement-matrix" effect. So the above equation reduces to: 
The linear buckling method is used for structural or warpage analyses not based on initial conditions from warpage. Experience has shown that Classical Buckling analysis of warpage problems gives an accurate prediction of the buckling load. The Classical method works well because there is very little change of shape prior to buckling, that is  is a good approximation.
 is a good approximation. 
In this method, we choose  = 0 and
= 0 and  very close to
 very close to  , that is take zero and a very small fraction of the load as the reference states. Since only a very small step is taken, equilibrium iterations are not required and the analysis performs the step using strategy 5.
, that is take zero and a very small fraction of the load as the reference states. Since only a very small step is taken, equilibrium iterations are not required and the analysis performs the step using strategy 5. 
We also assume that  . Note that in this method the stresses are evaluated using updated coordinates.
. Note that in this method the stresses are evaluated using updated coordinates. 

The simplest and fastest way to analyze pre-stressed components is to take  = 0 and
= 0 and  = 0.001. Thus only one step need be taken, and because no equilibrium iterations are done, the cost of the solution is only slightly greater than the cost of the Classical Method.
= 0.001. Thus only one step need be taken, and because no equilibrium iterations are done, the cost of the solution is only slightly greater than the cost of the Classical Method. 
The linearized buckling method is used exclusively for structural analyses based on initial conditions from a Warp analysis. The classical method cannot be applied to these problems because there is significant residual stress from processing. This violates the assumption that  = 0. Instead, the linearized buckling method must be used. This is indicated by Stress when you select initial conditions buckling analysis.
= 0. Instead, the linearized buckling method must be used. This is indicated by Stress when you select initial conditions buckling analysis.