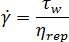
The bulk shear rate, or representative shear rate is derived from the wall shear stress and the fluidity, which are quantities calculated during an analysis.
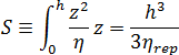
A representative viscosity,  is calculated from the fluidity,
 is calculated from the fluidity,  , and the thickness of the part,
 , and the thickness of the part,  , as:
, as:  

The representative shear rate is then calculated from the wall shear stress and the representative viscosity:
