The underfill viscosity model, which is a modification of the Herschel-Bulkley-WLF viscosity model for reactive materials, is used specifically for underfill encapsulants.
 The underfill viscosity model includes an additional term,  (thickness), as described below:
 (thickness), as described below: 
where
 is the viscosity (Pa. sec.)
      is the viscosity (Pa. sec.)  is the cavity thickness (meter)
 is the cavity thickness (meter)  is the viscosity at a reference thickness
         is the viscosity at a reference thickness  , and
, and  and
      and  are data-fitted coefficients.
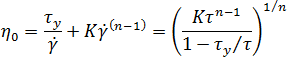
 are data-fitted coefficients. The viscosity at the reference thickness can be obtained from the following equation: 
where
 is the viscosity (Pa s)
      is the viscosity (Pa s) 
 
 is the shear rate (1/s)
           is the shear rate (1/s) 
 
 
 is the temperature (K)
      is the temperature (K)  is the degree of cure (0–1), and
      is the degree of cure (0–1), and  ,
     ,  ,
,  ,
,  ,
,  ,
,  ,
,  ,
,  and
 and  (gelation conversion) are data-fitted coefficients.
 (gelation conversion) are data-fitted coefficients.