Both the porosity and the permeability of the fiber-mat affect the filling pattern in a Reactive Molding analysis.
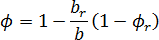
 The porosity of the preform is described by the following equation: 
 where: 
 is the porosity
 is the porosity  is the thickness of the fiber-mat
  is the thickness of the fiber-mat  are those at the specified reference thickness
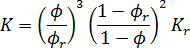
 are those at the specified reference thickness  The permeability of the preform is described by the following equation:
 where  is the permeability.
 is the permeability.