Cable element theory in Robot is based on the general theory of cables with a small value of cable sag. According to this theory, cable rigidity is an implicit function of the following parameters: cable tension rigidity (E*F), cable tension, cable support displacements, and transverse loading in both directions (p y , p z ).
Because of the non-linearity of the cable element, its definition in the structure requires applying iterative methods of structure analysis.
Cable implementation capabilities in Robot:
Limitations:
Cable loads
The following load types apply to cable elements:
The following load types do not apply to cable elements:
SYNTAX (to be entered by a user in a text file)
PROperties
(<element list>) CABles AX=<section area> (E=<Young's modulus>)
(RO=<unit weight>) [STRess = <s> | FORce = <h> | LENgth = <l>
| [ DILatation = <d> (RELative) ]]
where:
STRess - Normal stress (calculated in regard to the chord) to be achieved for the assembling load case.
FORce - Tension force (calculated in regard to the chord) to be achieved for the assembly load cases.
LENgth - Initial cable length.
DILatation - Difference between the initial cable length and the distance between the support nodes. (If it is a positive value - the length is bigger than the distance between the nodes; if negative - the length is smaller than the distance between the nodes.)
RELative DILatation - Ratio of the difference between the initial cable length and the distance between the support nodes to the distance between the support nodes. (If it is a positive value - the length is bigger than the distance between the nodes; if negative - the length is smaller than the distance between the nodes.)
Robot includes the structure assembly stage. It is recommended that this is the first load case. Syntax for such a load case follows:
CASe
ASSembly
[load description]
For this load case:
STRess = s0 (initial cable stress)
FORce = t0 (initial tension force in the cable)
During the analysis of successive structure load cases in the state of equilibrium, the assembling case loads applied to the structure are considered. Displacements assigned to this case are used as the basis for further analysis. Predefined tension forces are changed, which means that after the assemblage, the cable is anchored.
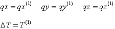
At this stage, equation (1) describes the transition from:
q0x = q0y = q0z = 0 (no load)
H0 = 0 (no cable tension)
T0 = 0
for which the length is equal to L1= :
|
1. |
long, when (long ≠ 0) - if the LENgth value is specified in a cable definition |
|
2. |
[distance (A, B) + dilatation], when dilatation is defined in an absolute system - if the DILatation value is specified in a cable definition |
|
3. |
[distance (A, B)*(1+dilatation)], when dilatation is defined in a relative system - if the RELative DILatation value is specified in a cable definition |
|
4. |
[distance (A, B)], when (dilatation = 0) and (long = 0) - if there is no keyword such as: LEngth, DILatation or RELative DILatation in a cable definition or one of the following keywords: FORce or STRess exists. |
to

L2 - Distance between support nodes A and B of the deformed cable:
L2 = distance (A+U A , B+U B ),
where:
U A - Displacement of the point A
U B - Displacement of the point B.
Various situations for the first, assembling load case are possible:
From the equation (1):
l value is the distance between the beginning and end node of the cable.
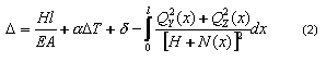
From the equation (2) one can assign the initial cable elongation d essential for obtaining the required force H:
then, solving the equation (4) according to the force H
and iterating through the system of equations, the final value of the assembling force is found.
It is equal to:
.
L2 = length (A, B)
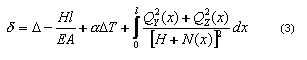
solving the equation (4) the initial value of the force required for the cable anchorage between supports is found.
After completing the structure analysis, results for cable elements are similar to those obtained for bar elements; however, some differences remain. The differences include:
Such results are useful for designing the assembly stage. They are available from the Results module by selecting the command: Stresses > Parameters > Results for the cable elements in the assembly stage.
where:
N - Force applied along the cable tangent
FX, FY, FZ - N force components projected on directions of successive axes of the local coordinates system
When an arbitrary case (i) is defined after the first assembling case, cable behavior is obtained by solving the equation (1). Iteration of such an equation is run according to the following assumptions:
Load from the first load case is automatically added to the load in the (i) case
Tension force H is treated as an unknown quantity.
See also: