Analysis Characteristics
Reference
White, F.M., Fluid Mechanics, McGraw-Hill (1986).
Problem Description
A 2D circular pipe is analyzed to verify the fluid flow and turbulence modeling capabilities of Autodesk Simulation CFD.
The k-
turbulence model is used.
The Reynolds number based on the pipe diameter,
, is 14,960.
The pressure drop
is measured across an interval 50 m downstream of the inlet:
Geometry and Boundary Conditions
Results
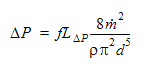
Analytical and numerical calculations of pressure drop are compared. The analytical expression for pressure drop
from White (1986) is:
is the Darcy friction factor
is the mass flow
is the pipe length across which
is measured. The Darcy friction factor is computed from the Blasius expression:
Using these parameters:
=50.0m
=2350
=14960 in the expressions above, the following results are computed:
| Benchmark | 2014: Build 20130102 | % Error | 2015: Build 20131223 | % Error | |
|
4.0e5 Pa | 397744.82 Pa | 0.488 | 397744.82 Pa | 0.488 |