Turbulence

The Turbulence dialog is for enabling or disabling turbulence, selecting the turbulence model and for modifying turbulence model parameters.

Select Laminar to simulate laminar flow.

Select Turbulent (the default) to simulate turbulent flow. Most engineering flows are turbulent.

If it is unclear if an analysis should be run as laminar or turbulent, try laminar first. If the flow is actually turbulent, the analysis will typically diverge within the first ten to fifteen iterations. Change the setting Turbulent, and start again from iteration 0.

Turb. model

k-epsilon

This is the default turbulence model. It is typically more accurate than the constant eddy viscosity model, but more computationally intensive and slightly less robust. It is not as resource intensive as the RNG model, but still gives good results. It is a general purpose model that performs well across a large number of applications.

SST k-omega

  • We recommend SST k-omega for external aerodynamics, separated or detached flows, and flow with adverse pressure gradients.
  • SST k-omega is robust across a wide range of flow types.
  • SST does not use wall functions. It simulates turbulence all the way to the wall. To use SST k-omega effectively, the mesh needs to be very fine in the boundary layer region. You can add up to 10 layers with the Mesh Enhancement dialog.

Additional notes about SST k-omega

The SST models are a hybrid of the Wilcox k-omega and a k-epsilon model variant. The benefits of this model include the following:
  1. The SST models exhibit less sensitivity to free stream conditions (flow outside the boundary layer) than many other turbulence models.
  2. Using a shear stress limiter, these models avoid a build-up of excessive turbulent kinetic energy near stagnation points.
  3. The SST models provide a platform for additional extensions such as SAS and laminar-turbulence transition.
  4. When a wall roughness value is prescribed with the material definition, the SST models account for wall roughness effects. To simulate wall roughness, disable Intelligent wall formulation by clicking the Advanced... button on the Turbulence dialog, and unchecking Intelligent wall formulation.

Scale Adaptive Simulation (SST k-omega SAS)

  • SST k-omega SAS is recommended for flows with transient turbulence structures such as vortex shedding and variable wake structures.
  • You can run steady state simulations with SST k-omega SAS. The turbulent structures cannot be animated, but the SST k-omega SAS model predicts their formation and shape better than a steady-state k-epsilon simulation.
  • To use SST k-omega SAS effectively, the mesh needs to be very fine in the boundary layer region. You can add up to 10 layers with the Mesh Enhancement dialog.

Detached Eddy Simulation (SST k-omega DES)

  • SST k-omega DES is a hybrid between SST k-omega and large eddy simulation (LES) models.
  • SST k-omega DES produces accurate results for separated, high Reynolds external aerodynamics flow applications.
  • This model is computationally intensive and is sensitive to the mesh distribution. It works best with a uniform mesh distribution.

Low Re k-epsilon

This model is well suited for low speed, turbulent flows. The Reynolds number of such flow is typically between 1,500 and 5,000.

Typical applications include pipe flows and external aerodynamic flow transitioning between laminar and turbulent, as well as flow situations that have both high speed and low speed areas.

Other flow situations that perform well with the Low Reynolds turbulent model include:

  • A high-speed jet entering a large room. The jet is highly turbulent when it first enters the room, but the flow slows down considerably, and the Reynolds number drops. These types of flows can be very unstable when run with k-epsilon.
  • Buoyancy-driven (natural convection) flows that are barely turbulent.

Because this turbulent model does not use wall functions, Mesh Enhancement should be always be enabled. We recommend increasing the number of mesh enhancement layers to 5 (using the Mesh Enhancement controls on the Meshing dialog).

Note that analyses run with this turbulence model may not be as stable as those run with the k-epsilon model. Because of this, the Intelligent Solution Control should be enabled (the switch is located in the Solution Control dialog launched from the Solve task dialog.) Likewise, analyses run with this model may take more iterations to reach a fully converged solution.

High Reynolds flows that are run with the Low Reynolds turbulence model will generally produce the same solution as would the k-epsilon model. Likewise, laminar flows that are run with this model will produce similar results to a solution run as laminar.

RNG

The RNG turbulence model is more computational intensive, but sometimes slightly more accurate than the k-epsilon model, particularly for separated flows. This model works best for predicting the reattachment point for separated flows, particularly for flow over a backward-facing step. When using the RNG model, it is often recommended to start with the k-epsilon model and after this model is fairly well converged, enable the RNG model. 

Eddy Viscosity  

The constant eddy viscosity model is slightly less rigorous than the k-epsilon model, but more numerically stable. This is a good choice for lower speed turbulent flows and some buoyancy flows. This model is useful if divergence occurs with one of the other models.

Mixing Length

The Mixing Length turbulence model is primarily designed for internal natural convection analyses. Use of the mixing length model, in some cases, has been shown to reduce run times and provide better accuracy than the default turbulence model for internal buoyancy-driven flows. 

Note that the Mixing Length model is designed for gas flows (such as air), and will not produce good results when the working fluid is a liquid (such as water).

Auto Startup

Auto Startup controls the Automatic Turbulent Start-Up (ATSU) algorithm.

This algorithm goes through a number of steps to obtain turbulent flow solutions. The algorithm starts by running 10 iterations using a constant eddy viscosity model, so the k and epsilon equations are not solved. With this solution as an initial guess, the two-equation turbulence model is started. At iteration 10, a spike in the convergence monitoring data will appear for the k and epsilon equations. Other steps are then taken to gradually arrive at the converged result. These steps may involve spikes in the convergence monitoring data at iterations 10, 20 and 50. After 50 iterations, the ATSU is turned off automatically.

If Lock On is selected, the ATSU stays on during the entire analysis until the user manually clicks it off. If there are convergence difficulties after iteration 50 (divergence within 10 iterations), then you should enable Lock On. If the ATSU is turned on, you should run at least 200 iterations to ensure convergence of the turbulent flow solution.

If Extend is selected, an extended version of the ATSU is activated. This method is useful for difficult analyses, particularly compressible analyses. The minimum number of iterations that should be run with this algorithm is 400.

Turb/Laminar Ratio

The Turb/Laminar Ratio is the ratio of the effective (turbulent) viscosity to the laminar value. It is used to estimate the effective viscosity at the beginning of the turbulent flow analysis. In most turbulent flow analyses, the effective viscosity is 2-3 orders of magnitude larger than the laminar value. The default value is generally suitable for most flows.

For the Mixing Length model, the turb/lam ratio is the upper limit for the eddy viscosity. The free stream eddy viscosity maxes out at this value.

For the eddy viscosity model, this is the eddy viscosity, even if you change it on a restart now.

For all the other turbulence models (K-Epsilon, RNG, Low Re Number), the specified value is the starting point or initial value of the eddy viscosity.

It is often helpful to increase the Turb/Lam Ratio to 1000 or even 10,000 for flows that feature a small, high speed jet shooting into a large plenum. Such flows are typically momentum-driven, and benefit from a larger turbulent viscosity at the beginning of the calculation.

Advanced Parameters

Several additional parameters that "tune" the turbulence model are available in the Advanced... dialog. Most of the parameters are described in the turbulent flow Theoretical description, and should generally not be modified unless you are very familiar with two equation turbulence theory. The following parameters, however, can be modified with a little more flexibility:

Turbulence Intensity

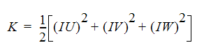
The Turbulence Intensity Factor controls the amount of turbulent kinetic energy in the inlet stream. Its default value is 0.05 and should rarely exceed 0.5. The expression used to calculate turbulent kinetic energy at the inlet is:

I is the Intensity Factor and u, v and w are velocity components.

Intelligent Wall Formulation

Intelligent Wall Formulation is a scalable wall formulation that enhances stability and accuracy with the SST turbulence models. It reduces the sensitivity of results to the level of mesh refinement along the wall.

Intelligent Wall Formulation is enabled by default for the SST k-omega models.

Additionally, Intelligent Wall Formulation can be enabled for k-epsilon. It has been shown to shown to work well in the following scenarios:

  • With Mesh Adaptation, Intelligent Wall Formulation with k-epsilon does not exhibit performance degradation as the mesh is refined.
  • Intelligent Wall Formulation with k-epsilon removes the sensitivity to the Y+ value dropping below the sub-layer (<35).
  • Intelligent Wall Formulation with k-epsilon has been shown to provide accuracy and convergence rate improvements for some simulations.

Related Topics

Advanced settings

Mathematical foundation