
Le parti in lamiera vengono definite dal loro stato piegato o funzionale, ma vengono fabbricate a partire da un foglio piatto. Le pieghe appiattite per formare il modello piatto deformano il materiale nella zona di piega. La quantità di deformazione dipende da alcune variabili. La conversione del modello piegato allo stato appiattito richiede che tale deformazione venga tenuta in considerazione, mediante uno dei seguenti metodi:
Usare equazioni personalizzate per specificare esattamente la modalità di gestione dell'appiattimento delle zone di pieghe nei modelli piegati di parti in lamiera. Queste equazioni personalizzate vengono definite in una regola di spiegatura con nome creata mediante la finestra di dialogo Editor stili e norme.
Nelle sezioni seguenti vengono descritti ulteriormente i tipi di equazione per la risoluzione della deformazione appiattita.

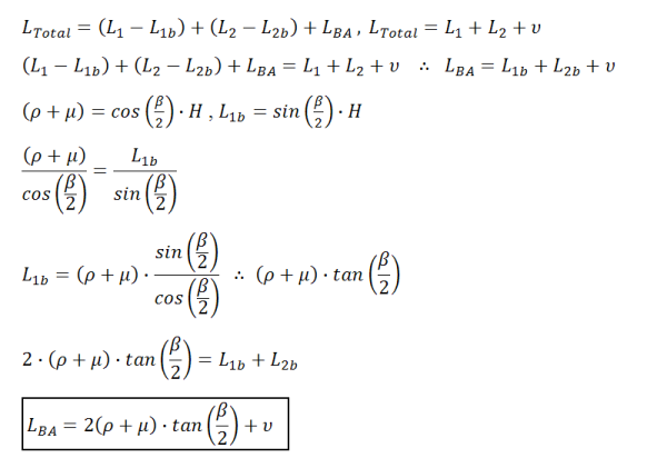
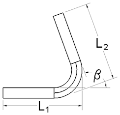
È possibile utilizzare l'equazione di compensazione della piega per determinare la lunghezza sviluppata totale:
dove:
In Inventor, la tolleranza delle piega viene calcolata mediante le seguenti equazioni. Per gli angoli:
l'equazione usata è:
dove:
L'espansione dell'equazione originale per includere il calcolo della tolleranza della piega determina:


Per gli angoli:

Viene utilizzata la seguente equazione:
L'espansione dell'equazione originale per includere il calcolo della tolleranza della piega determina:


Una volta determinata la tolleranza della piega, il fattore K può essere derivato mediante:


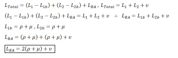
Utilizzare l'equazione di detrazione della piega per determinare la lunghezza sviluppata totale:
dove:
L'equazione di detrazione della piega offre un metodo di calcolo che è il diretto opposto del metodo di compensazione della piega.
Per la detrazione di pieghe in Inventor, la tolleranza delle piega viene calcolata mediante le seguenti equazioni.
Per gli angoli:

l'equazione usata è:

dove:
Per gli angoli:
l'equazione usata è:

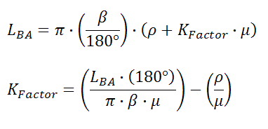
Utilizzare l'equazione di tolleranza della piega per determinare la lunghezza sviluppata totale:
dove:
Viene fornita un'equazione definita per risolvere direttamente la tolleranza della piega. Il fattore K può essere derivato dalla seguente equazione:


Per determinare la lunghezza sviluppata totale mediante il fattore K, viene usata la seguente equazione:
dove:
Per calcolare la tolleranza della piega viene usata la seguente equazione: