È possibile visualizzare elenchi di elementi di qualsiasi tipo in un progetto.
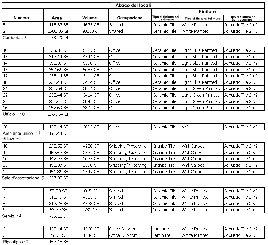
Un abaco è una raccolta di informazioni estratte dalle proprietà degli elementi di un progetto e visualizzate in una tabella. In un abaco è possibile elencare tutte le istanze del tipo di elemento che si intende inserire nell'abaco oppure comprimere più istanze in un'unica riga in base ai criteri di raggruppamento dell'abaco.

È possibile creare un abaco in qualsiasi momento del processo di progettazione. Quando al progetto si apportano modifiche che hanno effetto sull'abaco, quest'ultimo viene aggiornato automaticamente in modo da riflettere tali cambiamenti. È possibile aggiungere un abaco ad una tavola di disegno.
È possibile esportare un abaco in un altro programma, come ad esempio un foglio elettronico.
Tutti gli abachi vengono aggiornati automaticamente quando si modifica il progetto. Ad esempio, se si sposta un muro, la misura dell'area del locale si aggiorna di conseguenza.
Quando si modificano le proprietà di componenti di costruzione nel progetto, l'abaco associato viene aggiornato automaticamente.
Ad esempio, se si seleziona una porta nel progetto e si cambia la proprietà relativa al produttore della stessa, tale modifica viene riflessa nell'abaco della porta.
È possibile creare diversi tipi di abachi:
Si hanno a disposizione varie soluzioni per la formattazione dell'aspetto dell'abaco. È possibile:
gruppo Finestre
gruppo Abaco