Volumetric structures in Robot are modeled using isoparametric volumetric finite elements with displacement field approximation based on the 1st order shape functions.
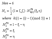
The following element types are available: brick B8, wedge W6, and tetrahedron T4. Shape functions and node numbering related to 3D reference elements are shown in the following table.
|
Reference Element |
Shape Functions |
|---|---|
|
|
|
|
|
|
The description of element geometry, evaluation of strains, stresses, stiffness, and mass matrix as well as element force vector for all enumerated element types is performed as follows:
Element geometry
Element geometry is based on isoparametric mapping from a reference element onto an arbitrary element

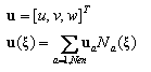
Displacement fields within the element
Strain evaluation
Where B matrices are defined as:
Shape function derivatives in B matrix elements are defined as:

Stresses (elastic case)
Where e o are imposed strains (thermal dilatation and shrinkage) and D is a constitutive matrix. The constitutive matrix D (linear - elastic isotropic material) is shown as follows: