Cracking calculation for Italian code MINISTERO DEI LAVORI PUBBLICI DECRETO 9 GENNAIO 1996:
The detailed requirements according to point B.6.6.3 are as follows:
.
where:
c - Reinforcement cover.
s - Bar spacing ≤ 14φ.
k 2 - Coefficient:
k 2 = 0.4 for ribbed bars.
k 2 = 0.8 for plain bars.
k 3 - Coefficient:
k 3 = 0.125 for bending and bending with compression.
k 3 = 0.250 for simple tension.
k 3 = 0.25 * (σ1 + σ2) / 2 σ1 for simple tension.
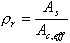
A c,eff = b eff * h eff
For sections entirely in tension b eff ≤ 40 cm and h eff ≤ 40 cm.
For slabs in bending h eff ≤ (h * x) / 2, where x is the height of the zone in compression.
c - Reinforcement cover ≤ 7.5φ
s - Bar spacing
if s < 14φ:
b eff = B - section width.
h eff = c + 7.5φ.
if s > 14φ: calculations for each bar individually.
beff = (14 + 1)φ - For slabs and internal bars of beams.
beff = c + 7.5φ - For corner bars.
heff = c + 7.5φ.
Ac,eff = Σ (b eff * h eff ).

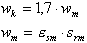
σ s - Stress in the reinforcement in tension for the section through a crack.
σ sr - Stress in reinforcement in tension for which the outermost concrete fibers reach the stress level equal to f ctm . These calculations do not account for the reinforcing steel in section properties.
β 1 - Coefficient:
β 1 = 1.0 for ribbed bars.
β 1 = 0.5 for plain bars.
β 2 - Coefficient:
β 2 = 1.0 for a single short-term load.
β2 = 0.5 for long-term loads or loads repeating many times.