はく離の開始基準(または損傷の開始基準)

Simulation Composite Analysis には 2 つの異なる表面力に基づいたはく離の開始基準が実装されています。

Simulation Composite Analysis で実装されたすべてのはく離モデルでは、はく離の開始予測は粘性要素の積分点で発生する表面力(tn、ts、tt)に基づいています。

最大応力基準

二次応力基準

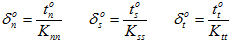
3 つの表面力(tn : ts : tt)間の現在の比率が、荷重が増加しても一定のままであると仮定すると、はく離の開始が発生する表面力 を計算できます。二次応力基準では、これらの開始表面力は次のように計算できます。

再び、3 つの表面力(tn : ts : tt)間の現在の比率が、荷重が増加しても一定のままであると仮定すると、はく離の開始時の対応する相対的変位を次のように計算できます。