Hashin 基準

Hashin 基準 [16] は、複合材料の 4 つの異なる破損モードを識別します。

4 つのモードとは、繊維の引張破損、繊維の圧縮破損、母材の引張破損、母材の圧縮破損です。

縦方向引張破損時の = σ11 の値

縦方向圧縮破損時の = σ11 の値

横方向引張破損時の = σ22 の値

横方向圧縮破損時の = σ22 の値

縦方向せん断破損時の = σ12 の絶対値

横方向せん断破損時の = σ23 の絶対値

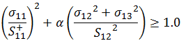
である場合、繊維の引張破損基準は、次の方程式で示します。

である場合、繊維の圧縮破損基準は、次の方程式で示します。

である場合、母材の引張破損基準は、次の方程式で示します。

である場合、母材の圧縮破損基準は、次の方程式で示します。

注: Hashin 方程式では、ユーザ指定のパラメータ α が必要になります。
α

繊維の引張破損に対する縦方向せん断応力の影響を決定するユーザ指定係数です。許容される範囲は 0.0α1.0, で、既定値は α=0 です。