LaRC02 基準

LaRC02 基準 [55] は、一方向複合材料の繊維破損および母材亀裂を識別します。

繊維破損は、さらに 3 つの破損モードに分割されます。

母材亀裂は、さらに 3 つの破損モードに分割されます。

破損インデックス(FI)が 1.0 以上の場合、破損が発生します(繊維あるいは母材破損)。

LaRC02 で使用される一般的な用語

このセクションでは、LaRC02 の破損基準で使用される一般的な用語について説明します。

XT = 縦方向の引張破損における σ11 の値

XC = 縦方向の圧縮破損における σ11 の値

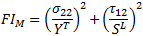
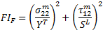
YT = 横方向の引張破損における σ22 の値

YC = 横方向の圧縮破損における σ22 の値

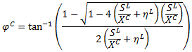
SL = 縦方向のせん断破損における σ12 の値

ST = 横方向のせん断破損における σ23 の値

α0 = 単軸の横方向圧縮(53°に設定)の下の破断平面の角度

α = 破損インデックスを最大化する破断平面の角度

G12 = 縦方向のせん断ヤング率

引張繊維破損

縦方向の法線応力(σ11)が正の値の場合、引張繊維破損モードを使用して繊維破損が発生しているかを判定します。繊維の引張破損基準は、次の方程式で示します。

ここで ε11 は現在の縦方向ひずみで、 は繊維引張破損の縦方向ひずみです。

は、複合材料の軸引張強度から次のように計算されます

母材圧縮による繊維圧縮破損

2 つの繊維圧縮破損基準があります。繊維破損の評価にどちらの基準を使用するかは、応力の状態によって決まります。繊維圧縮破損は回転座標系で評価されます。横方向の法線応力()が正の値の場合は、次の基準を使用して繊維破損が評価されます。

横方向の法線応力()が負の値の場合は、次の基準を使用して繊維破損が評価されます。

引張母材破壊

母材の引張破損基準は、横方向の法線応力(σ22)が正の値の場合に呼び出されます。 母材の引張破損基準は、次の式で示します。

母材圧縮

2 つの母材圧縮破損基準があります。母材破損の評価にどちらの基準を使用するかは、応力の状態によって決まります。縦方向の法線応力(σ11)が横方向の圧縮強度(YC)以上の場合、次の基準を使用して母材破損が評価されます。

縦方向の法線応力(σ11)が横方向の圧縮強度(YC)未満の場合、材料は適度な双軸圧縮状態であると考えられ、次の基準を使用して母材破損が評価されます。

この基準は、回転座標系の応力を使用して有効な応力を計算します。