Advanced Material Exchange によって生成された結果を確認する

このセクションでは、Abaqus/Viewer を使用して、Advanced Material Exchange によって生成された構造解析の結果を確認します。 ここでは、Abaqus/Viewer を使用して有限要素の結果を表示し、必要な後処理を実行する操作にユーザが精通しているものと想定します。このセクションでは、Advanced Material Exchange に固有の結果に焦点を当てます。

コンタ プロットを使用して状態依存変数を表示する

Advanced Material Exchange によって生成される状態変数(SDV)は 11 個あり、そのうちの 10 個はモデルのコンタ プロットで確認できます。

通常、コンタ プロットは状態変数の分布を調べる最も適切な方法です。Abaqus/Viewer 内でコンタ プロットを生成するには、コンタのアイコン をクリックするか、メイン ツールバーから[Plot] > [Contours] > [On Deformed Shape]を選択します。Abaqus/Viewer がプロットする既定の変数は、フォンミーゼス応力です。Advanced Material Exchange によって計算される状態変数を表示するには、[Result] > [Field Output]を選択して、[Field Output]ダイアログ ボックスを開きます。状態変数(SDV1、SDV2 など)が、応力(S)およびひずみ(E)などより一般的な変数とともに、[Field Output]ダイアログ ボックスにリストされます。[Field Output]ダイアログ ボックスで使用可能な SDV の数は、*DEPVAR キーワード ステートメントで、Abaqus 入力ファイルによって要求される SDV の数によって完全に異なります。

さらに役に立つ 2 つの SDV は SDV1 と SDV9 です。SDV1 はガウス点の場所の劣化ステータスを表します。1.0 の値は損傷がないこと(破損なし)を示します。0.0 の値は、ガウス点が破損し、材料剛性が劣化したために破損が周囲の場所に進行することを示します。SDV9 は、母材材料の接線弾性ヤング率を表します。接線剛性が劣化すると、構造には塑性変形、または軟化が発生します。

注: 結果を SDV1 などの離散変数から見る場合、個別の要素に対する平均の結果を表示するキルト プロットが役に立つ場合があります。キルト プロットは[Contour Plot Options]ダイアログ([Options] > [Contour])から作成することができます。

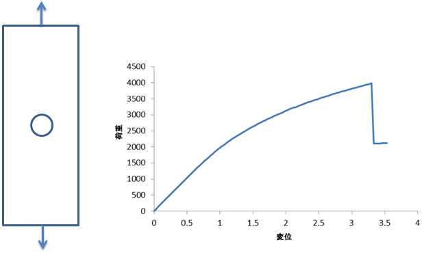
荷重 - 変位プロットの作成

グローバルな構造破損を検出する、または損傷の特定の分布を構造剛性全体の減少に関連付けるには、まずグローバルな構造力とグローバルな構造変形の関係を調べる必要があります。このタイプの関係は、荷重対変形を示す単純な 2D プロットを使用して確認するのが適しています。

以下に示す射出成形されたプラークから加工された引張荷重のクーポン標本を考えます。荷重履歴の中で最大の破損が発生したポイントを判定するには、荷重 - 変位曲線を作成する必要があります。荷重を受けるすべての節点上の反力を合計すると、以下に示す荷重 - 変位プロットを生成することができます。大量の塑性が変位 1 から始まる構造に導入されていることがわかります。塑性変形は、およそ 3.25 の変位で大きな荷重低下が発生するまで継続します。この突然の荷重低下は、構造に壊滅的な破損が生じたことを示します。

仮にこのモデルに対して SDV1 のコンタ プロットを作成する場合、穴の周囲のいくつかの要素の値は 0.0 となり、およそ 3.25 の変位で壊滅的な破損が発生するでしょう。