ExposureContrast

ExposureContrast 要素はイメージの露出の調整と、明るいカラーと暗いカラーの間のコントラストの変更を行います。

Academy/ASC XML カラー変換形式に対するオートデスクの拡張機能です。

カラー変換が表示用に使用される場合、CTF ファイルに少なくとも 1 つの DynamicParameter サブ要素を持つ ExposureContrast 要素がある限り、アプリケーションに応じてユーザが露出とコントラストをインタラクティブに調整できます。この場合、ECParams サブ要素で定義される対応するパラメータ値は表示用にのみ無視され、代わりにアプリケーションで設定された値が DynamicParameter サブ要素を持つ ExposureContrast 要素によって発生する変換チェーンの各ポイントに適用されます。

導入

バージョン 1.2

下位要素

  • 修正される問題。オプション、任意の数です。
  • ECParams。必須、1 のみです。
  • DynamicParameter。オプション、最大 3 です。各パラメータのアトリビュートを異なる値に設定する必要があります。

上位要素

アトリビュート

id、name、bypass、inBitDepth、outBitDepth
共通オペレータ アトリビュート」を参照してください。
スタイル
入力データ型を宣言します。必須です。
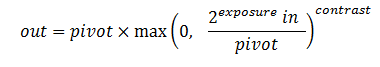
注: 次の式は、入力と出力のビット深度が浮動小数点であることを前提とします。整数の場合、値は[0.0, 1.0]に正規化されます。言い換えると、CTF ファイルに格納されている露出オフセット、コントラスト レベル、ピボット値は入力と出力のビット深度に依存しません。
意味
"linear"
"video"
"log"

<ProcessList id="561c5aba-8709-477c-8211-7ec4a6fe8820">
   <ExposureContrast inBitDepth="16f" outBitDepth="32f" style="linear">
      <ECParams exposure="0.65" contrast="1.2" pivot="1" />
      <DynamicParameter param="EXPOSURE" />
      <DynamicParameter param="CONTRAST" />
   </ExposureContrast>
</ProcessList>