次の結果から 1 つまたは複数を選択できます。
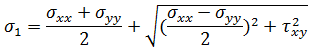
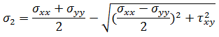
これらの結果の数学的定義は、任意の点における応力状態を示すよく知られているモールの円を使用して表すことができます。


は最大垂直応力で、
は最小垂直応力です。主応力の対応する方向は、それぞれ第 1 主方向、第 2 主方向と呼ばれます。これらの角度は、次の式を使用して計算されます。 


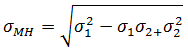
通常、応力結果を調べる際には、成形品内の応力分布と成形品の最大応力レベルをチェックします。応力解析および反り解析では、要素の表側(肉厚方向表示位置 = 1)および裏側(肉厚方向表示位置 = -1)の両方の結果が出力されます。
これらの結果は、材料の推奨最大応力、および関連する成形品設計基準(例: 指定された破断基準など)がある場合はそれらの基準と比較する必要があります。
非充填の等方性材料は通常、次の図に示すようなぜい性または延性挙動を示します。図の (a) は脆性、(b) は延性の応力-歪挙動を表しています。

それぞれの場合で検討が必要な推奨応力結果は次のとおりです。
繊維充填異方性材料では、荷重下の成形品の挙動、破断の力学、および破断に関する設計基準が、等方性材料と比べて大幅に複雑になります。複合材料の応力解析、および取得された結果の解釈には、ユーザー側に特別な専門知識が必要となります。
繊維配向解析と応力/反り解析では、どちらも成形品肉厚方向のラミネートごとの結果が出力されます。