複合材料機械的特性の予測

繊維配向は、成形品の機械的(弾性)強度と剛性を決定する、主な要素の 1 つです。

成形品における繊維配向の分布が明らかになって以来、短繊維複合材料の機械的特性を予測する各種理論が開発されてきました。

どの理論でも、機械的特性を計算するために、次の 2 手順の手順に従います。

  1. 一方向短繊維強化材料のプロパティを見積もります。
  2. その後、これらの特性を、繊維配向分布密度に応じて、ラミネート全体で平均化します。

このように、この方法論では、繊維の長さと配向の影響が単独で説明されます。

Tandon-Weng モデルは、複合材料の一方向機械的特性の計算の基礎になります。Autodesk Simulation Moldflow Insight の実装では、Tandon-Weng モデルのポアソン比計算に対する Tucker/Liang の扱いも考慮しています。

解析で入力が必要なファイバーおよび樹脂のプロパティは、次のとおりです。

次の基本機械的特性は、複合材料の要素ごとに定義されます。

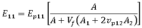
縦弾性率および横弾性率

Tandon Weng モデルでは、短繊維強化複合材料は、有限弾性樹脂マトリックスに組み込まれた、一方向に整列した楕円体含有物近似の特殊ケースとして扱われます。

一軸整列システムの縦弾性率は、次のように記述することができます。

説明: 、 および は、Tandon Weng の論文で使用されているパラメータに関連するパラメータです。

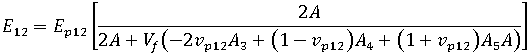
一軸整列システムの横弾性率は、次のように記述することができます。

ここで、 、および は、Tandon Weng の論文で使用されているパラメータに関連するパラメータです。

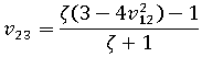
せん断弾性率とポアソン比

Halpin-Tsai の手順は、複合材料の縦横のせん断弾性率とポアソン比を計算するときに適用されます。

これらの定数は、次のように記述することができます。
ここで、
ここで、 は樹脂のバルク係数であり、次のように定義されます。
面内のポアソン比は、混合規則に基づいて次のように計算されます。
複合材料の面外ポアソン比は次のように計算されます。