天井の上のスペースを還気パスとして使用している場合、そのスペースは天井還気天井プレナムです。従来のダクト還気と異なり、天井プレナムにはパス中に複数の熱源が存在する場合があります。これらの熱源としては、照明や変圧器からの輻射負荷および対流負荷や、隣接する壁、屋根、ガラスからの伝導負荷、または天井プレナム内のダクトおよび配管システムが考えられます。
次の式は、天井プレナムの温度と熱伝達をエンジンで計算する方法を示します。
(35)
(36)
(37)
(38)
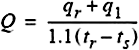
(39)
ここで、
= 天井を通じた天井プレナムからスペースへの熱増加(Btu/h)
= 上部の床を通じた天井プレナムからの熱損失(Btu/h)
= 還気による熱増加の「ピックアップ」(Btu/h)
= 還気風量(Btu/h)
= 還気による天井プレナムへの光熱増加(Btu/h)
= スペースへの光熱増加(Btu/h)
= 下部の天井プレナムからの、床を通じた熱増加(Btu/h)
= 外壁からの熱増加(Btu/h)
=
、
、
の適切な処理を含むスペース冷房負荷(Btu/h)
= 天井プレナム温度(°F)
= スペース温度(°F)
= 上部の床のスペース温度(°F)
= 給気温度(°F)

一般的な還気天井プレナムの回路図