プロジェクトへの配線の追加は省略可能です。配線なしでも回路は作成できます。Revit は、回路に関連付けられているインテリジェンスを保持します。
固定配線は、次の 2 とおりの方法で作成できます。
 [ワイヤに変換]パネル上のツールを使用して、回路に固定配線を追加します。固定配線が作成された後、回路が選択されていなくても配線はビューに表示されたままになります。 
 [電気]パネルにある[配線を追加する]ツールを使用して、固定配線を手動で作成することもできます。 回路のプロパティを使用して、回路内で使用する配線のタイプを指定します。「回路プロパティ」を参照してください。
仮回路を固定配線に変換する
回路の配線のタイプを選択する
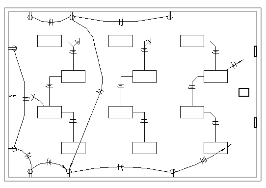
通常は、円弧配線は、壁、天井、または床に隠れた配線を表すために使用されます。
通常は、面取り配線は、露出した配線を表すために使用されます。
次の例で、円弧配線はコンセントを接続し、面取り配線は照明器具を接続します。
