外部圧縮性流れは、次の2つのカテゴリに分類できます。
- オープンエア(高度または海面のいずれか)での空気力学アプリケーション
- 風洞内の空気力学アプリケーション
内部流れと異なり、どちらのタイプにもデバイス上および周囲を通過する流れが含まれます(デバイス内を通過するのではなく)。例としては、翼、ミサイル、または航空機のナセル上の流れがある。
オープンエアおよび風洞解析を解決するための方針は、計算領??のサイズと代表的な流入口条件の点において若干異なります。
圧縮性オープンエア流れ
オープンエアアプリケーションの場合、解析領域はモデルの一部として定義されない(風洞の場合と異なる)。デバイスの寸法に基づいて領域のサイズを決定する、いくつかの基本的なガイドラインがある。これらはガイドラインに過ぎず、状況によって変わる可能性があります。
- 流入口: 物体の流速と静圧(P = 0)を適用します(熱伝達計算を行う場合は全温度)。
- 流出口: 未知境界条件を指定します。
- 領域の高さが20y未満である場合(上図を参照)、遠距離境界にスリップ条件を指定する。境界が20y以上である場合、遠距離境界を指定しないまま壁面とするか、または自由流速度を指定する。後者は流れの発達を促進するが、衝撃が加わった場合には収束に問題が起きる原因となる。
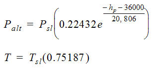
- 高度において適切な材料物性値を使用するには、環境圧力(および、熱伝達に興味がある場合には、環境温度)を変更します。(デザインスタディバーの材料ブランチを右クリックし、環境参照を編集...を選択します。)高度の参照圧力と温度を計算する方法を次式に示す。
-1000 ft < hp < 36,000 ft:
hp = 高度(フィート単位);
Palt = 高度での静圧
Talt = 高度での静温度
Psl = 海面での圧力
Tsl = 海面での温度
36,000 ft < hp < 65,000 ft:
伝熱計算を解決しない場合は、計算タスクダイアログで必ず全温度を指定します。全温度は、次式で計算される。
圧縮性風洞流れ
一般に流入口にはブロータンクから流れが送り込まれます。
- 流入口: 全圧(Pt)を指定します(全圧は、タンク内の移動しない空気の静圧になる)。流速が既知である場合は、流速も指定する。
- 流出口: 静圧を指定します(P = 0)。
- 環境圧力が風洞内の周囲圧力となるように指定します:
- デザインスタディバーの材料ブランチを右クリックし、環境参照を編集...を選択します。
- 材料環境ダイアログで圧力を指定します。
- 伝熱計算の場合、流入口に全温度を指定する。
迎え角
物体に流れを基準とする迎え角がある場合、物体ではなく計算領域の方向を変えることが推奨される。領域の方向は、自由流速度と領域の側面が平行となるようにするべきである。
材料環境
すべての場合において、材料環境ダイアログの可変を選択します:
- 材料クイック編集ダイアログで、環境行の編集をクリックします。(あるいは、デザインスタディバーの材料名ブランチを右クリックします。)
- 材料環境ダイアログで可変を選択します。
シミュレーションに関する推奨事項
抗力計算の精度を向上させるため、次のテクニックが推奨されます。
- 物体周辺には、非常に細かいメッシュが必要とされる。流線型のボディには、圧力の係数の急激な変化を計算するためにボディの澱み点付近に細かいメッシュを必要とする。
- SST k-ω乱流モデルを起動する。
- [実行]ダイアログを開き、[物理的特性]タブの[乱流]をクリックします。
- [乱流モデル]メニューから、[SST k-ω]を選択します。
- [境界メッシュ エンハンスメント]ダイアログで 10 以上のメッシュ エンハンスメントのレイヤーを指定する。
- [設定] > [セットアップ タスク] > [メッシュ サイズ分割]をクリックします。
- コンテキスト メニューから[エンハンスメント]をクリックします。
- [レイヤー数]スライダを 10 にドラッグします。
- ADV5 対流項計算スキームを呼び出す。
- [実行]ダイアログを開き、[コントロール]タブで[ソリューション コントロール]をクリックします。
- 解析制御ダイアログで、対流項をクリックします。
- リストから[ADV 5]を選択します。
- アダプティブ メッシュを有効にする。このオプションにより、シミュレーションのいくつかの反復の中でメッシュが次第に細分割されます。結果はメッシュに依存しない解となります。このオプションは、多くの計算が必要になることがあり、メッシュの単一実行よりも時間がかかる場合があることに注意してください。
- [実行]ダイアログを開き、[アダプティブ]タブをクリックします。
- [アダプティブを有効化]をオンにします。
関連トピック
内部圧縮性流れ
圧縮性流れの解析例