粒子追跡

Autodesk Simulation CFD では、質量がなく、流れに従う粒子、または質量がある粒子のどちらの粒子追跡でも作成できます。 それぞれのケースにおいて、モデル中を通過する粒子の軌跡を計算するために、ラグランジュ方程式が使用される。

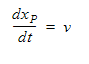
無質量粒子に対しては、次式が使用されます。

ここで、xp は粒子の位置ベクトル、v は粒子の局所流速です。

質量の無い粒子では、この粒子の局所流速が流速と同じ値です。

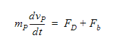
質量粒子では、粒子の局所流速を決定するために、さらに以下の式が必要です。ニュートンの第2法則を利用します。

ここで、mp は粒子の質量、vp は粒子の速度、Fb は浮力、Fd は次の式で計算される抗力です。

この式に置いて、a、b、cはユーザー入力であり、Reは次式で計算される流体のレイノルズ数です。

上記の定義に加え、この式はさらに粒子半径 Rp、と流体の粘性係数 を使用します。

最後に浮力については、次式で計算されます。

ここで g はユーザー入力の重力加速度です。