Mooney-Rivlin 材料特性

Mooney-Rivlin 材料モデルは、超弾性材料モデルです。2D、ブリック、4 面体、膜、シェル要素で使用できます。Mooney-Rivlin 材料特性を次に示します。これらの特性に加えて、一部の等方性材料特性の定義が必要になる場合があります。

カーブ フィッティング ルーチンを使用するには、[要素の材料指定]ダイアログの[カーブ フィット]をクリックします。このルーチンによって、計測済みの応力-ひずみデータを使用して材料定数が計算されます。

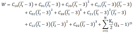
この材料のポテンシャル関数は次数に応じて次のようになります。

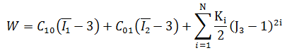
2 定数の標準関数:

5 定数の高次関数:

9 定数の高次関数:

次数に関係なく、初期せん断係数 μ0 および体積弾性率 k0 は、次のように次数 N=1 の多項式係数によってのみ決定します。

μ0 = 2(C10 + C01) , k0 = K1

Mooney-Rivlin 形式は、左 Cauchy-Green テンソルの第 2 不変量に応じて項を追加する点において、Neo-Hookean 形式の拡張と考えることができます。この形式は、Neo-Hookean 形式よりも実験データへの適合精度が高くなる場合があります。ただし、どちらのモデルも不変量の線形関数しか使用しないため、一般的に精度はほぼ同程度になります。これらの関数は、応力-ひずみ曲線における比較的高いひずみレベルの「上昇」を表現することはできません。

体積弾性率

体積弾性率は、E/3*(1-2)という式から求められます。E は材料の弾性率、v は材料のポアソン比です。

最初および 2 番目の定数

Mooney-Rivlin 式 σ = 2(C1 + C2/λ)(λ - 1/λ2) は、σ / [2(λ - 1/λ2)] = C2 + λ-1 + C1 という形式をとるように操作できます。これは、y = mx + b という形式の線形の式と類似しています。

(高次の材料モデルおよび上記のポテンシャル方程式は、C10 および C01 としてそれぞれ最初の定数と 2 番目の定数を参照します。)

注: Mooney-Rivlin 式は、さまざまな供給源において異なる形式で書かれています。ソフトウェアで Mooney-Rivlin 定数を使用する場合は、C1 および C2 に対して入力する値が、上記の方程式に示すとおりに σ に関連付けられていることを確認してください。さらに、データ入力およびモデル化全体において一貫した単位を使用してください。