この材料モデルは、2D、ブリック、4 面体要素で使用できます。Blatz-Ko 材料モデルでは、体積弾性率のように、体積パーツと非体積パーツとの強力な結合が発生します。その他の超弾性材料モデルの場合と同様、個別に決定できません。Blatz-Ko 材料特性のリストを次に示します。これらの特性に加え、いくつかの等方性材料特性を定義する必要があります。
カーブ フィッティング ルーチンを使用するには、[要素の材料指定]ダイアログの[カーブ フィット]をクリックします。このルーチンによって、計測済みの応力-ひずみデータを使用して材料定数が計算されます。
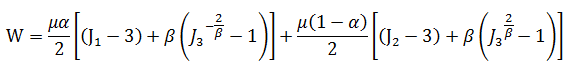
この材料のポテンシャル関数は次のとおりです。

ただし、
[せん断係数]
せん断係数(μ)です。
[アルファベット]
アルファ(α)は、ひずみエネルギー形態の取得中に導入された材料定数です。この値は、応力/ひずみ曲線に基づいたカーブ フィット アルゴリズムを使用して取得します。α=1 はゴム状材料の場合の推奨値です。 たとえば、Blatz-Ko の論文では、ウレタン ゴムの場合に µ=200711.2 Pa、α=1、β=13.3 が推奨されています。
[ポアソン比]
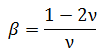
材料のポアソン比(ν)です。