Neo-Hookean 材料特性

Neo-Hookean 材料モデルは超弾性材料モデルで、2D、ブリック、4 面体要素で使用できます。材料特性を以下に示します。

ルーチンを使用するには、[要素の材料指定]ダイアログの[カーブフィット]カーブ フィッティングボタンをクリックします。このルーチンによって、計測済みの応力-ひずみデータを使用して材料定数が計算されます。

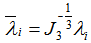
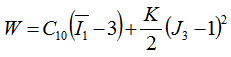
Neo-Hookean 材料のポテンシャル関数は次のとおりです。

ただし、

注:

  • 初期せん断係数、μ0μ0 = 2C10 から推定できます。
  • K = κ0 : 体積弾性率。