Hyperfoam 材料特性

この材料モデルは、2D、ブリック、4 面体要素で使用できます。Hyperfoam 材料モデルは、圧縮率を考慮し、3 つの材料定数を有する超弾性材料モデルです。[要素の材料指定]ダイアログで[カーブフィット]ボタンをクリックすると、実験から得られた応力-ひずみデータを入力でき、このデータを基に 3 つの材料定数が計算されます。Hyperfoam 材料特性は以下のとおりです。これらの特性に加えて、一部の等方性材料特性の定義が必要になる場合があります。

カーブ フィッティング ルーチンを使用するには、[要素の材料指定]ダイアログの[カーブ フィット]をクリックします。このルーチンによって、計測済みの応力-ひずみデータを使用して材料定数が計算されます。

この材料のポテンシャル関数は次のとおりです。

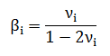
βi > -1/3 の場合、不変の材料が取得されます。 βi は、次の式によりポアソン比に関連します。

,

初期せん断率は次のように得られます。

ここで、μiαi > 0、i = 1,..,N となります。

初期体積弾性率は次のように得られます。

Mu

1 番目の Hyperfoam 材料モデル定数です(μi)。使用する Hyperfoam 材料モデルの各次数に対して定義する必要があります。

[アルファベット]

2 番目の Hyperfoam 材料モデル定数です(αi)。使用する Hyperfoam 材料モデルの各次数に対して定義する必要があります。

ベータ

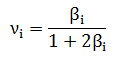
ベータ(β)は、上記で与えられたポアソン比(ν)に関連する定数です。