Dodawanie okablowania do projektu jest opcjonalne. Można utworzyć obwody bez okablowania; program Revit zachowuje informacje skojarzone z takimi obwodami.
Trwałe okablowanie można utworzyć za pomocą jednej z dwóch metod:
Przekształć w przewód. Po utworzeniu stałego okablowania przewody pozostają widoczne w widoku, gdy obwód nie jest zaznaczony.
panel Elektryczne. Można użyć właściwości obwodu, aby określić typ przewodów zastosowanych w obwodzie. Zobacz Właściwości obwodu.
Przekształcanie obwodu tymczasowego na okablowanie stałe
Wybierz typ okablowania dla obwodu
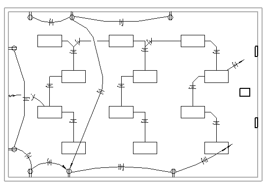
Okablowanie łukowe jest często używane do reprezentowania przewodów ukrytych w ścianach, sufitach lub podłogach.
Okablowanie fazowane jest często używane do reprezentowania przewodów odsłoniętych.
W poniższym przykładzie okablowanie łukowe łączy gniazda, natomiast okablowanie fazowane łączy oprawy oświetleniowe.
