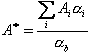
Podstawową funkcją modułu Definicja przekroju jest wyznaczenie charakterystyk geometrycznych zdefiniowanego profilu pełnego. Dla przekrojów kompozytowych obliczane są charakterystyki ważone (oznaczone symbolem *) zdefiniowane następującym wzorem:

gdzie:
i - i-ty materiał profilu kompozytowego
b - materiał bazowy profilu kompozytowego.
Ogólne wyniki obejmują podanie następujących wielkości (wartości podawane są jako wartości geometryczne i ważone): pole powierzchni, współrzędne środka ciężkości, wymiary, parametry materiału bazowego (moduł Younga, gęstość, ciężar na jednostkę); dodatkowo przeprowadzone mogą zostać obliczenia następujących wielkości (należy włączyć odpowiednią opcję i nacisnąć przycisk Oblicz)
Plastyczne wskaźniki wytrzymałości względem głównych, centralnych osi profilu są obliczane za pomocą wzorów podanych poniżej.

Moment zginający względem osi y lub z, który powoduje całkowite uplastycznienie przekroju, jest iloczynem wartości plastycznego wskaźnika wytrzymałości względem osi y lub z i wartości granicy plastyczności. Powierzchnie obszarów równoważnych, które powodują podział za pomocą linii neutralnej równoległej do osi y, są reprezentowane przez
. Powierzchnie obszarów równoważnych, które powodują podział za pomocą linii neutralnej równoległej do osi z, są reprezentowane przez
.
Wartości wymienionych wielkości będą dostępne na karcie Układ główny okna dialogowego Rezultaty.