Wzory określające wartości główne i złożone

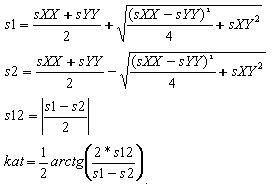
Główne wartości naprężeń s wyznaczane są z następujących wzorów:

Uwaga: Główne wartości sił membranowych N oraz momentów M są wyznaczane na podstawie tych samych wzorów (litera ‘s’ oznaczająca naprężenia jest zamieniana odpowiednio na literę ‘N’ i ‘M’).

Złożona (zredukowana) wartość naprężenia s (von Mises) jest wyznaczana z następującego wzoru:

Uwaga: Wartości zredukowanej siły membranowej N oraz momentu M są wyznaczane na podstawie tego samego wzoru (litera ‘s’ oznaczająca naprężenia jest zamieniana odpowiednio na literę ‘N’ i ‘M’).