W trakcie wymiarowania słupa żelbetowego poddanego mimośrodowemu ściskaniu sprawdzane są niezależnie trzy przekroje na wysokości słupa: górny, dolny oraz położony w części środkowej (dokładne położenie tego przekroju jest określone najczęściej poprzez moment środkowy według wytycznych poszczególnych norm).
W zależności od zaleceń normowych położenie przekroju oraz to, czy słup jest przesuwny, czy nieprzesuwny, warunkuje, czy w danym przekroju uwzględniony zostanie wpływ efektów drugiego rzędu (oczywiście, jeśli smukłość słupa przekracza normową wartość graniczną).
Najczęściej przyjętym schematem dla większości norm żelbetowych jest:
Wyjątek stanowi np. norma brytyjska BS, w której wpływ smukłości jest uwzględniana również na końcach słupa o węzłach nieprzesuwnych. W normach ACI i CSA natomiast, dla konstrukcji o węzłach przesuwnych, może wystąpić dodatkowe zwiększenie wpływu smukłości dla przekroju środkowego.
Dla tak rozumianych trzech przekrojów przeprowadzane jest obliczenie zbrojenia. Zbrojenie obliczane jest w procesie iteracyjnym; liczba iteracji jest zwiększana do momentu, aż przyjęte zostanie zbrojenie zapewniające spełnienie nośności we wszystkich trzech przekrojach słupa dla każdej z kombinacji.
Kombinacja wymiarująca rozumiana jest jako zestaw kombinacji obciążeń wraz z położeniem przekroju, dla której to pary występuje największe wytężenie.
Trzem przekrojom poddanym wymiarowaniu odpowiadają trzy zestawy sił (tj. siły osiowej, momentów i ew. sił poprzecznych) dla każdej kombinacji w tabeli definicji obciążeń.
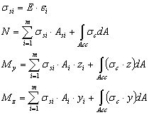
Obliczanie nośności słupa dla dwukierunkowego zginania przebiega zgodnie ze schematem:


gdzie: Acc jest polem powierzchni części ściskanej (zgodnie z wykresem rozkładu s), E jest modułem Younga.
Na rysunku przedstawiony jest prostokątny wykres naprężeń. Dla niektórych norm występuje wykres paraboliczno-prostokątny.
Wyjątek stanowi metoda normowa dostępna dla polskiej normy PN-B-03264 (2002).
Zwiększanie zbrojenia aż do uzyskania nośności (algorytm optymalizacji) przebiega według następującego schematu: