
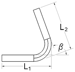
As peças de chapa de metal são definidas por seu estado de dobra ou funcional, mas são fabricadas a partir de uma chapa de metal plana. As dobras que se desdobram para formar a planificação deformam o material na zona de dobra. A magnitude da deformação depende de uma série de variáveis. Para alterar o modelo dobrado a um estado alisado, é necessário incorporar esta deformação utilizando um dos três métodos seguintes:
Utilize equações personalizadas para especificar exatamente como deseja inserir a planificação das zonas de dobra nos modelos dobrados de peça de chapa de metal. Estas equações personalizadas são definidas em uma regra de desdobramento com nome que é definido através da caixa de diálogo Editor de estilos e normas.
As seguintes seções descrevem tipos de equações para resolver a deformação planificada.

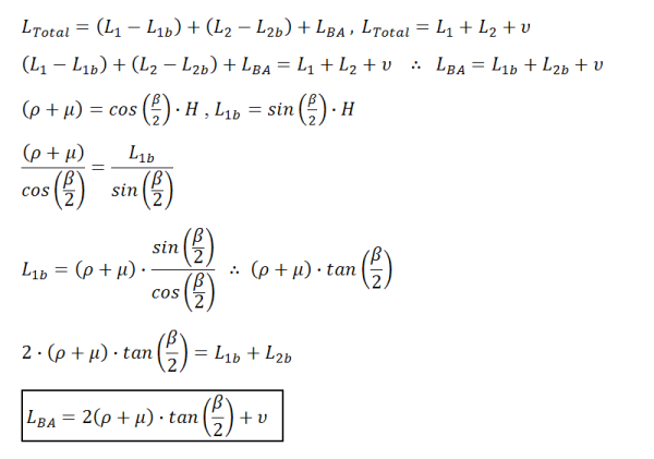
Você utiliza a equação de compensação de dobra para determinar o comprimento total desenvolvido:
onde:
O Inventor calcula a tolerância de dobra através das seguintes equações. Nos casos angulares:
a equação usada é:
onde:
O resultado da ampliação da equação original para incluir o cálculo da tolerância de dobra é:


Nos casos angulares:

A seguinte equação é usada:
O resultado da ampliação da equação original para incluir o cálculo da tolerância de dobra é:


Uma vez determinada a tolerância de dobra, o Fator K pode ser obtido através de:


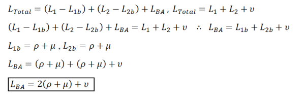
Utilize a equação de dedução de dobra para determinar o comprimento total desenvolvido.
onde:
A equação de dedução de dobra oferece um método de cálculo que é o método oposto ao da compensação de dobra.
Para as deduções de dobra, o Inventor calcula uma tolerância de dobra usando as seguintes equações.
Nos casos angulares:

a equação usada é:

onde:
Nos casos angulares:
a equação usada é:

Utilize a equação de dedução de dobra para determinar o comprimento total desenvolvido:
onde:
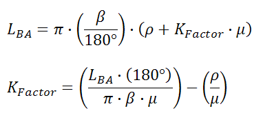
É incluída uma equação definida para resolver diretamente a tolerância de dobra. O Fator K pode ser obtido a partir da seguinte equação:


Para determinar o comprimento total desenvolvido com o método Fator K a equação é utilizada:
onde:
A tolerância de dobra é calculada utilizando a seguinte equação: