Ao efetuar o croqui de uma spline, tente usar as linhas mais simples (ou uma combinação de linhas) para obter os resultados desejados.
Por exemplo, pode ser preciso desenhar uma linha que seja similar à imagem a seguir.

Esta linha poderia ser criada usando uma combinação de arcos e linhas ou usando uma spline. As linhas que são desenhadas usando splines requerem mais tempo de processamento. Portanto, recomenda-se, quando possível, usar uma combinação de arco e linha em vez de uma spline.
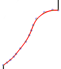
Quando for necessário criar uma linha usando uma spline, use o menor número de pontos de controle possível para manter o mínimo tempo de processamento. A imagem a seguir mostra uma spline que foi desenhada ao escolher muitos pontos de controle (pontos azuis).

É possível criar a mesma spline usando menos pontos de controle, como mostrado.
